М
Молодежь
К
Компьютеры-и-электроника
Д
Дом-и-сад
С
Стиль-и-уход-за-собой
П
Праздники-и-традиции
Т
Транспорт
П
Путешествия
С
Семейная-жизнь
Ф
Философия-и-религия
Б
Без категории
М
Мир-работы
Х
Хобби-и-рукоделие
И
Искусство-и-развлечения
В
Взаимоотношения
З
Здоровье
К
Кулинария-и-гостеприимство
Ф
Финансы-и-бизнес
П
Питомцы-и-животные
О
Образование
О
Образование-и-коммуникации
СветланаП
СветланаП
09.02.2021 14:04 •  Алгебра

Найти наименьшее целое решение неравенства

👇
Ответ:
Alina2627848
Alina2627848
09.02.2021
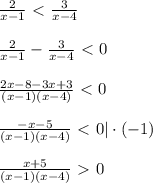
\frac{2}{x-1}\ \textless \ \frac{3}{x-4} \\ \\ \frac{2}{x-1}- \frac{3}{x-4}\ \textless \ 0\\ \\ \frac{2x-8-3x+3}{(x-1)(x-4)} \ \textless \ 0\\ \\ \frac{-x-5}{(x-1)(x-4)} \ \textless \ 0|\cdot (-1)\\\\ \frac{x+5}{(x-1)(x-4)} \ \textgreater \ 0

ОДЗ: x≠4 и x≠1

\frac{x+5}{(x-1)(x-4)}=0\,\,\,\, \Rightarrow\,\,\,\, x=-5

___+___(-5)____+___(1)___-___(4)____+___

Решением неравенства является x \in (-5;1)\cup(4;+\infty)

Наименьшее целое решение:  x=-4
4,8(52 оценок)
Открыть все ответы
Ответ:
Alle963
Alle963
09.02.2021
A cos²x + B sin x cos x + C sin²x = d
A cos²x + B sin x cos x + C sin²x = sin²x + cos²x
Переносишь из правой части в левую
E cos²x + B sin x cos x + F sin²x = 0 | :cos²x ( или sin²x)
Удобнее будет, если в итоге получиться tg x, значит делим на sin²x
E tg²x + B tg x + F = 0
tg x = t
Et² + Bt + F = 0
А дальше дискриминант, или как там удобнее (Я т.Виета пользуюсь)
Получаем корни t, допустим t = H ; O
Приравниваем наш tg x к корням
tg x = H или tg x = O
Это решить уже не составит труда
x = arctg(H) + \pin, n ∈ Z
x = arctg(O) + \pin, n ∈ Z
Само собой, если tg = 1, то это \pi/4+\pin, n ∈ Z, и т.п
Это я общее привёл
4,8(64 оценок)
Ответ:
Nier
Nier
09.02.2021
2) 4y^2 - 9y+48=0
D = 81-768=- 687
действительных корней нет
1) 4y^2 - 25y + 100=0
D = 625-1600, D<0 действительных корней нет
3) из условия знаменателя: х не равен -3 и 1/2. Далее по условию равенства нулю дроби:
(x+3)(x-2)=0
x+3=0  или  x-2=0
x=-3             x=2
ответ: 2 (так как -3 не подходит по условию знаменателя)
4) Приведем к общему знаменателю:
(16(x^2-9)+x^2(x-6)-x^2(x+3))/(x^2(x^2-9)) = 0
x не равен 0, 3 и - 3
16(x^2-9)+x^2(x-6)-x^2(x+3)=0
16x^2-144+x^3-6x^2-x^3-3x^2=0
7x^2=144
x1=12/√7
x2=- 12/√7
4,5(19 оценок)
Новые ответы от MOGZ: Алгебра
Полный доступ к MOGZ
Живи умнее Безлимитный доступ к MOGZ Оформи подписку
logo
Вход Регистрация
Что ты хочешь узнать?
Спроси Mozg
Открыть лучший ответ