М
Молодежь
К
Компьютеры-и-электроника
Д
Дом-и-сад
С
Стиль-и-уход-за-собой
П
Праздники-и-традиции
Т
Транспорт
П
Путешествия
С
Семейная-жизнь
Ф
Философия-и-религия
Б
Без категории
М
Мир-работы
Х
Хобби-и-рукоделие
И
Искусство-и-развлечения
В
Взаимоотношения
З
Здоровье
К
Кулинария-и-гостеприимство
Ф
Финансы-и-бизнес
П
Питомцы-и-животные
О
Образование
О
Образование-и-коммуникации
felgovanp09wqq
felgovanp09wqq
07.08.2020 02:17 •  Алгебра

Найдите функцию , удовлетворяющую условию . с решением, . 8й класс

👇
Ответ:
egorstorozhenk
egorstorozhenk
07.08.2020
Дано: 2f(x)+3f(-x)= \frac{2}{x}
Найти: y=f(x) - ?

Решение:

Подставим в условие вместо икса минус икс, т.е. пусть x = - x
2f(-x)+3f(x)= -\frac{2}{x}

Получим систему:
\left \{ {{2f(x)+3f(-x)= \frac{2}{x}} \atop {2f(-x)+3f(x)= -\frac{2}{x}}} \right.

Из первого уравнения выразим f(-x):
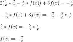
2f(x)+3f(-x)= \frac{2}{x} \\ \\ 3f(-x)= \frac{2}{x} -2f(x) \\ \\ f(-x)= \frac{1}{3} *\frac{2}{x} - \frac{2}{3}* f(x)

Полученное подставим во второе уравнение:
2(\frac{1}{3} *\frac{2}{x} - \frac{2}{3}* f(x) )+3f(x)= -\frac{2}{x} \\ \\ - \frac{4}{3}* f(x)+3f(x)= -\frac{2}{x} - \frac{2}{3} *\frac{2}{x} \\ \\ \frac{5}{3}* f(x)= -\frac{5}{3} *\frac{2}{x} \\ \\ f(x)= -\frac{2}{x}

Это всё. Можно ещё найти f(-x):
f(-x)= \frac{1}{3} *\frac{2}{x} - \frac{2}{3}* f(x) =\frac{1}{3} *\frac{2}{x} - \frac{2}{3}*(-\frac{2}{x})= \\ \\ =\frac{1}{3} *\frac{2}{x} + \frac{2}{3}*\frac{2}{x}=\frac{2}{x}

ответ: f(x)= -\frac{2}{x}
4,4(90 оценок)
Открыть все ответы
Ответ:
Дима15313
Дима15313
07.08.2020

Объяснение:

При умножении степеней с одинаковыми основаниями основание остаётся без изменений, а показатели степеней складываются.

При делении степеней с одинаковыми основаниями основание остаётся без изменений, а из показателя степени делимого вычитают показатель степени делителя. (Проще говоря, вычитаются).

1)0,6¹³:0,6¹¹=0,6¹³⁻¹¹=0,6²=0,6*0,6=0,36

2)(-5 и 3/7)²²: (-5 и 3/7)²¹=(-5 и 3/7)²²⁻²¹=(-5 и 3/7)¹= -5 и 3/7

3)(-1,21)²⁴: (-1,21)²³=(-1,21)²⁴⁻²³=(-1,21)¹= -1,21

4)(pg)¹⁸: (pg)⁸: (pg)³=(pg)⁷

   а)(pg)¹⁸: (pg)⁸=(pg)¹⁸⁻⁸= (pg)¹⁰

   б)(pg)¹⁰: (pg)³=(pg)¹⁰⁻³= (pg)⁷

4,8(32 оценок)
Ответ:
AlexCairon5
AlexCairon5
07.08.2020

Объяснение:

1)Степенью числа «a» с натуральным показателем «n», бóльшим 1, называется произведение «n» одинаковых множителей, каждый из которых равен числу «a».

6³=6*6*6=216

10⁵=10*10*10*10*10=100 000

18¹=18

2)При умножении степеней с одинаковыми основаниями основание остаётся без изменений, а показатели степеней складываются.

aⁿ • aᵇ = aⁿ⁺ᵇ, где «a» — любое число, а «n», «b» — любые натуральные числа.

а¹²*а⁵=а¹²⁺⁵=а¹⁷

Упростить: а¹⁰*а*а⁷=а¹⁰⁺¹⁺⁷=а¹⁸

3)При делении степеней с одинаковыми основаниями основание остаётся без изменений, а из показателя степени делимого вычитают показатель степени делителя.

aⁿ/ aᵇ= aⁿ⁻ᵇ, где «a» — любое число, не равное нулю, а «n», «b» — любые натуральные числа такие, что «n > b».

а¹²/а⁴=а¹²⁻⁴=а⁸

Упростить: а²⁰/а⁵=а²⁰⁻⁵=а¹⁵

4,7(78 оценок)
Это интересно:
Новые ответы от MOGZ: Алгебра
logo
Вход Регистрация
Что ты хочешь узнать?
Спроси Mozg
Открыть лучший ответ