М
Молодежь
К
Компьютеры-и-электроника
Д
Дом-и-сад
С
Стиль-и-уход-за-собой
П
Праздники-и-традиции
Т
Транспорт
П
Путешествия
С
Семейная-жизнь
Ф
Философия-и-религия
Б
Без категории
М
Мир-работы
Х
Хобби-и-рукоделие
И
Искусство-и-развлечения
В
Взаимоотношения
З
Здоровье
К
Кулинария-и-гостеприимство
Ф
Финансы-и-бизнес
П
Питомцы-и-животные
О
Образование
О
Образование-и-коммуникации
юля6712
юля6712
28.04.2023 19:56 •  Алгебра

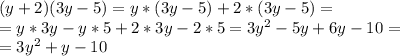
(y+2)(3y-5) представьте в виде многочлена

👇
Ответ:
vlad31106
vlad31106
28.04.2023
(y+2)(3y-5)=y*(3y-5)+2*(3y-5)=\\=
y*3y-y*5+2*3y-2*5=3y^2-5y+6y-10=\\=
3y^2+y-10
4,6(6 оценок)
Открыть все ответы
Ответ:
SuperKiri
SuperKiri
28.04.2023

Лексель Котов – архимагос исследовательского флота Котова

Таркис Блейлок – фабрикатус-локум, магос региона Кебрения

Виталий Тихон – звёздный картограф орбитальных галерей Кватрии

Линья Тихон – звёздный картограф, дочь Виталия Тихона

Азурамаджелли – магос астронавигации

Криптаэстрекс – магос логистики

Тарентек – фабрикатус ковчега

Хиримау Дахан – секутор/сюзерен гильдии

Хирона Манубия – магос кузни “Электрус”

Тота Мю-32 – надсмотрщик Механикус

Авреем Локк – крепостной

Расселас Х-42 – аркофлагеллант

Ванн Койн – крепостной

Юлий Хоук – крепостной

Исмаил де Рёвен – сервитор

Галатея – запрещённый машинный интеллект

Экснихлио

Веттий Телок – архимагос исследовательского флота Телока

“Ренард”

Робаут Сюркуф – капитан

Эмиль Надер – первый

Адара Сиаваш – наёмный стрелок

Иланна Павелька – техножрец

Каирн Силквуд – технопровидец

4,8(37 оценок)
Ответ:
ivanmilitskis
ivanmilitskis
28.04.2023

Чтобы определить проходит ли график функции через данные точки, нужно координаты этих точек подставить в уравнение функции и проверить, выполняется ли равенство.

у=3х²-х-2

А (-1; 2)

2=3*(-1)²-(-1)-2

2=3+1-2

2=2

Равенство верно, следовательно график функции проходит через точку А.

В (2; 8)

8=3*2²-2-2

8=12-4

8=8

Равенство верно, следовательно график функции проходит через точку В.

С (0;3)

3=3*0²-0-2

3=-2

Равенство неверно, следовательно график функции не проходит через точку С.

D (1; 4)

4=3*1²-1-2

4=3-3

4=0

Равенство неверно, следовательно график функции не проходит через точку D.

ответ: график функции у=3х²-х-2 проходит через точку А (-1; 2) и В (2; 8).

4,8(43 оценок)
Новые ответы от MOGZ: Алгебра
logo
Вход Регистрация
Что ты хочешь узнать?
Спроси Mozg
Открыть лучший ответ