М
Молодежь
К
Компьютеры-и-электроника
Д
Дом-и-сад
С
Стиль-и-уход-за-собой
П
Праздники-и-традиции
Т
Транспорт
П
Путешествия
С
Семейная-жизнь
Ф
Философия-и-религия
Б
Без категории
М
Мир-работы
Х
Хобби-и-рукоделие
И
Искусство-и-развлечения
В
Взаимоотношения
З
Здоровье
К
Кулинария-и-гостеприимство
Ф
Финансы-и-бизнес
П
Питомцы-и-животные
О
Образование
О
Образование-и-коммуникации
orrection124433
orrection124433
25.10.2021 15:48 •  Алгебра

Решите эти три , сделаю ответ лучшим

👇
Ответ:
Султи1
Султи1
25.10.2021

1A005

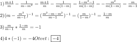
1)\frac{m+1}{m} -\frac{1}{m-m^{2}}=\frac{m+1}{m}-\frac{1}{m(1-m)}=\frac{1-m^{2}-1 }{m(1-m)}=-\frac{m^{2}}{m(1-m)}=\frac{m}{m-1}\\\\2)(m-\frac{m^{2}}{m-1})^{-1}=(\frac{m^{2}-m-m^{2}}{m-1})^{-1} =(\frac{m}{1-m})^{-1}=\frac{1-m}{m}\\\\3)\frac{m}{m-1}*\frac{1-m}{m}=-1\\\\4)4*(-1)=-4Otvet:\boxed{-4}

1A006

1)\frac{(a^{2}-b^{2})(a^{2}+ab+b^{2})}{b^{3}-\frac{a^{3}+b^{3}}{2}}=\frac{(a+b)(a-b)(a^{2}+ab+b^{2})}{\frac{2b^{3}-a^{3}-b^{3}}{2}}=\frac{2(a+b)(a^{3}-b^{3})}{b^{3}-a^{3}}=-2(a+b)\\\\2)-2(a+b)*\frac{1}{a+b}=-\frac{2(a+b)}{a+b}=-2\\\\Otvet:\boxed{-2}

1A007

1)\frac{2xy}{y^{2}-x^{2}}+\frac{x}{x+y}-\frac{y}{y-x}=\frac{2xy}{(y-x)(y+x)}+\frac{x}{x+y}-\frac{y}{y-x}=\frac{2xy+xy-x^{2}-y^{2}-xy}{(y-x)(y+x)} =\frac{-x^{2}+2xy-y^{2}}{(y-x)(y+x)}=-\frac{x^{2}-2xy+y^{2}}{(y-x)(y+x)}=-\frac{(x-y)^{2}}{(y-x)(y+x)}=\frac{x-y}{x+y}\\\\2)\frac{y-x}{x+y}:\frac{x-y}{x+y}=\frac{y-x}{x+y}*\frac{x+y}{x-y}=-1\\\\Otvet:\boxed{-1}

4,6(87 оценок)
Открыть все ответы
Ответ:
lenalime
lenalime
25.10.2021
Необходимо начертить единичную окружность и заставить точку "бегать" по окружности: 3П - это 1,5 круга, соответствует углу 180 градусам. Точка будет иметь координаты (-1,0).  По определению sin и cos  это и есть их значения: sin3П=0, cos3П=-1. 
Аналогично: sin 4п=0, сos4П =1
sin3,5п=1, сos3,5П=0;  
 sin5/2П=1, cos 5/2П=0    
 sinПк=0 сosПк=1 (если к -четное ) и cosПк =-1 если к- нечетное число
(2к+1) - это формула нечетного числа, к примеру 3, 5, 7, 9 и т.д.
Следовательно, sin(2к+1)П=0, cos(2к+1)П =-1..
4,6(23 оценок)
Ответ:
vadimnigamaev
vadimnigamaev
25.10.2021
Пусть х км/час - скорость мотоциклиста, у км/час -скорость велосипедиста.
До встречи  мотоциклист проехал 28х км, а велосипедист 28у км.
После встречи оставшийся путь мотоциклист проехал  за 28у/х минут, а велосипедист за 28х/у.
Зная, что мотоциклист был в пути на 42 мин меньше составим уравнение:
28х/у-28у/х=42
Обозначим дробь х/у новой переменной: х/у=z
Тогда уравнение примет вид: 28z-28/z=42
Приводим к общему знаменателю:
28z^2+42z-28=0
Решая квадратное уравнение получим корни: z1=-2 не подходит; z2=1/2. СЛедовательно, х/у=1/2. т.Е. скорость велосипедиста в 2 раза меньше скорости мотоциклиста. Отсюда имеем время движения велосипедиста из В в А равно 28+56=84минуты.
ответ: 84
4,5(50 оценок)
Это интересно:
Новые ответы от MOGZ: Алгебра
logo
Вход Регистрация
Что ты хочешь узнать?
Спроси Mozg
Открыть лучший ответ