М
Молодежь
К
Компьютеры-и-электроника
Д
Дом-и-сад
С
Стиль-и-уход-за-собой
П
Праздники-и-традиции
Т
Транспорт
П
Путешествия
С
Семейная-жизнь
Ф
Философия-и-религия
Б
Без категории
М
Мир-работы
Х
Хобби-и-рукоделие
И
Искусство-и-развлечения
В
Взаимоотношения
З
Здоровье
К
Кулинария-и-гостеприимство
Ф
Финансы-и-бизнес
П
Питомцы-и-животные
О
Образование
О
Образование-и-коммуникации
vasapipkin934
vasapipkin934
02.09.2022 01:19 •  Алгебра

2. из двух сел, расстояние между которыми равно 30 км, вышли навстречу друг другу два пешехода, которые встретились на середине пути, причём один из них вышел на 1 час 15 минут позже другого. если бы они вышли одновременно, то встретились бы через 3 часа. найдите скорость движения каждого пешехода.

👇
Ответ:
Пробуем представить все данные в виде системы уравнений с двумя неизвестными, где x - скорость первого пешехода, y - скорость второго.

Из двух сел, расстояние между которыми равно 30 км, вышли навстречу друг другу два пешехода, которые встретились на середине пути, причём один из них вышел на 1 час 15 минут позже другого. 
На середине пути - значит оба км.

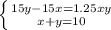
\left \{ {{\frac{15}{x} - \frac{15}{y} = 1.25} \atop {3x+3y=30}} \right.
\left \{ {{15y- 15x= 1.25xy} \atop {x+y=10}} \right.
\left \{ {{15y- 15x-1.25xy=0} \atop {x=10-y}} \right.
\left \{ {{15y- 15(10-y)-1.25y(10-y)=0} \atop {x=10-y}} \right.
\left \{ {{15y- 150+15y-12.5y+1.25y^2=0} \atop {x=10-y}} \right.
\left \{ {{1.25y^2+17.5y- 150=0} \atop {x=10-y}} \right.
\left \{ {{y^2+14y- 120=0} \atop {x=10-y}} \right.
\left \{ {{(y+20)(y-6)=0} \atop {x=10-y}} \right.
\left \{ {y=6} \atop {x=10-y}} \right.
\left \{ {y=6} \atop {x=4}} \right.

Скорость одного пешехода равна 6 км/ч, скорость другого равна 4 км/ч
4,5(8 оценок)
Открыть все ответы
Ответ:
egorbroggo
egorbroggo
02.09.2022

а) прямая проходит через начало координат, т. е. через точку О (0;0), а также через точку А (0,6;-2,4). это значит что у=0 при х=0 и у=-2,4 при х=0,6. графиком функции является прямая. уравнение прямой - у=к*х осталось найти коэффициент к. -2,4 = (-4)*0.6 отсюда у=-4х б) прямая пересекает оси координат в точках В (0;4) и С (-2,5;0). получаем систему уравнений 4=0*к+а и 0=(-2.5)*к+а. из первого уравнения а=4 подставляем значение а во второе уравнение и рассчитываем к. в итоге получаем к=1,6. у=1.6х+4

4,4(63 оценок)
Ответ:
PrOFy100
PrOFy100
02.09.2022
1) а3·а5 = а2
   а1 + а8 = 2
S7-?
(а1+ 2d)(a1 +4d) = a1 +d      a1² + 6a1d + 8d² = a1 +d
a1 + a1 +7d = 2                      2a1 +7d = 2⇒
Делаем подстановку:  а1 = (1 - 3,5d)
(1 - 3,5d)² + 7·(1 - 3,5d)·d + 8d² = 1 -3,5d +d
1 - 7d + 12,25d² +7d - 24,5d = 1 -3,5d + d
1 - 7d + 12,25d² +7d - 24,5d - 1 + 3,5d - d=0
12,25 d² -21d = 0|: d≠0
12,25d = 21
d = 21/12,25
d = 1  5/7
а1 = 1-3,5·1 5/7 = 1 - 6 = -5
S7 = (2a1 +6d)·7/2= (a1 +3d)·7 = (-5 + 36/7)·7= -35 +36 = 1
2) b1q^4 + b1q - b1q^3 = 66
    b1q^5 + b1q^2 - b1q^4 = -132 
4,5(62 оценок)
Это интересно:
logo
Вход Регистрация
Что ты хочешь узнать?
Спроси Mozg
Открыть лучший ответ