М
Молодежь
К
Компьютеры-и-электроника
Д
Дом-и-сад
С
Стиль-и-уход-за-собой
П
Праздники-и-традиции
Т
Транспорт
П
Путешествия
С
Семейная-жизнь
Ф
Философия-и-религия
Б
Без категории
М
Мир-работы
Х
Хобби-и-рукоделие
И
Искусство-и-развлечения
В
Взаимоотношения
З
Здоровье
К
Кулинария-и-гостеприимство
Ф
Финансы-и-бизнес
П
Питомцы-и-животные
О
Образование
О
Образование-и-коммуникации
somofsomof
somofsomof
23.09.2020 06:42 •  Геометрия

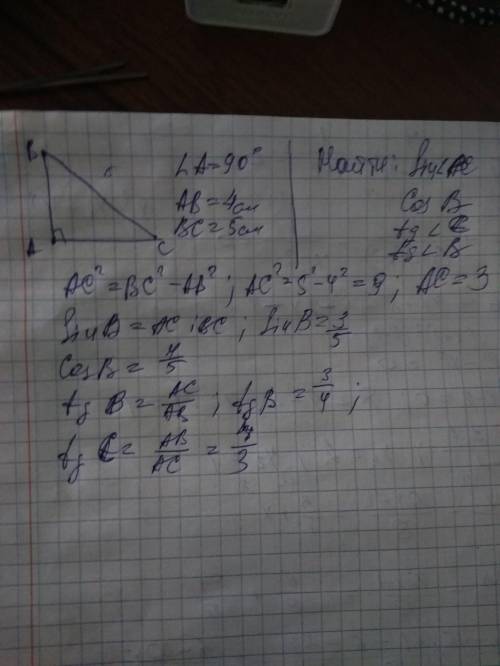
Катет и гипотенуза прямоугольного треугольника соответственно равны 4 см и 5 см . найдите : 1) синус угла , противолежащего меньшему катету 2) косинус угла , прилежащего к большему катету 3) тангенсы обоих углов

👇
Ответ:
Lizok2509
Lizok2509
23.09.2020

В

Объяснение:

Фото


Катет и гипотенуза прямоугольного треугольника соответственно равны 4 см и 5 см . найдите : 1) синус
4,5(30 оценок)
Ответ:
hdjdhd1
hdjdhd1
23.09.2020

второй катет равен 3 см, т.к. дан египетский треугольник. Тогда

1)sinα=3/5

2)cosα=4/5

3)tgα=3/4

tgβ=4/3

4,5(49 оценок)
Открыть все ответы
Ответ:
bestgad
bestgad
23.09.2020

3√3/2 см.

Объяснение:

Если тригонометрические соотношения в прямоугольном треугольнике ещё не изучены, можно воспользоваться этим

1. Центром окружности, описанной около прямоугольного треугольника, является середина гипотенузы, тогда длина гипотенузы с = 2R = 2•3 = 6(см).

2. По условию один из острых углов треугольника равен 60°, тогда второй острый угол равен 90° - 60° = 30°. Напротив него лежит катет, равный половине гипотенузы, а = 6:2= 3 (см).

3. По теореме длина второго катета b = √(36 - 9) = √27 = 3√3(см).

4. S = 1/2ab,

S = 1/2• c • h, тогда

1/2•a•b = 1/2• c • h,

ab = ch,

h = (ab)/c = (3•3√3)/6 = 3√3/2 (см).

4,5(44 оценок)
Ответ:
12Go12
12Go12
23.09.2020
Периметр-сумма всех сторон,значит
а)60-(13*2)=60-26=34, значит 34:2=17-вторая сторона параллелограмма (ответ:13 и 17)
б)пусть х-сторона параллелограмма,значит получим уравнение Х+Х+(4+Х)+(4+Х)=60, отсюда выразим х. 4Х=60-8, Х=13 -одна сторона, х+4=13+4=17- другая сторона. (ответ: 13 и 17)
в) пусть Х-сторона параллелограмма, тогда Х+Х+3Х+3Х=60, отсюда х=7.5- одна сторона, другая сторона 3х= 3* 7,5=22.5. (ответ:7.5 и 22.5)
г)пусть х и у -стороны параллелограмма,тогда составим систему Х+У=7 И 2Х+2У=60,решим систему и получим у = 11,5, х= 18.5.(ответ:11.5 и 18.5)
д) решение такое же как и у задачи №3.
4,6(32 оценок)
Это интересно:
Новые ответы от MOGZ: Геометрия
logo
Вход Регистрация
Что ты хочешь узнать?
Спроси Mozg
Открыть лучший ответ