1. Найти угол между векторами AС и АB.



*Можно искать не косинус угла, а найти длину вектора BC, тогда ΔABC -- равносторонний и углы равны по 60°.
2. Найти координаты центра сферы и длину ее радиуса. Найти значение m.
Приведём уравнение к общему виду (x - x₀)² + (y - y₀)² + (z - z₀)² = R²:

Тогда O (x₀; y₀; z₀) -- центр сферы, O (0; 1; -2),
R² = 16 ⇒ R = 4
Если точка принадлежит сфере, то подставив её координаты в уравнение, получится верное равенство. Подставим точки A и B в уравнение сферы:

3. Найти уравнение плоскости α.
Ax + By + Cy + D = 0 -- общее уравнение плоскости.
n = (A; B; C) -- вектор нормали ⇒ A = 1, B = 2, C = 3, тогда

Если точка принадлежит плоскости, то подставив её координаты в уравнение, получится верное равенство:

4. Найти общее уравнение прямой.
Общее уравнение прямой представляет собой систему уравнений двух пересекающихся плоскостей. Решение этой системы есть пересечение плоскостей, то есть прямая.
Зададим прямую параметрически:

Исключим параметр λ:

Последняя система -- это общее уравнение прямой.
48
Объяснение:
:
Боковая сторона равнобедренного треугольника равна 10, а основание равно 12. Найдите площадь этого треугольника.
Дано:
равнобедренный треугольник АВС,
АВ и ВС — боковые стороны,
АВ = 10,
АС — основание,
АС = 12.
Найти площадь равнобедренного треугольника АВС — ?
Рассмотрим равнобедренный треугольник АВС. Проведем высоту АО. Она является медианой. Следовательно АО = ОС = 12 : 2 = 6.
Рассмотрим прямоугольный треугольник АВО. По теореме Пифагора (квадрат гипотенузы равен сумме квадратов катетов):
АВ^2 = АО^2 + ВО^2;
ВО^2 = АВ^2 - АО^2;
ВО^2 = 100 - 36;
ВО^2 = 64;
ВО = 8.
S АВС = 1/2 * ВО * АС;
S АВС = 1/2 * 8 * 12;
S АВС = 4 * 12;
S АВС = 48.
ответ: 48.
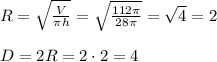
Объём цилиндра определяется формулой
откуда
Длина диагонали осевого сечения, обозначим как L, равна
Ну и, как "Лучшее решение" не забудь отметить, ОК?!.. ;)))
тем более, что второе решение здесь неверно...