М
Молодежь
К
Компьютеры-и-электроника
Д
Дом-и-сад
С
Стиль-и-уход-за-собой
П
Праздники-и-традиции
Т
Транспорт
П
Путешествия
С
Семейная-жизнь
Ф
Философия-и-религия
Б
Без категории
М
Мир-работы
Х
Хобби-и-рукоделие
И
Искусство-и-развлечения
В
Взаимоотношения
З
Здоровье
К
Кулинария-и-гостеприимство
Ф
Финансы-и-бизнес
П
Питомцы-и-животные
О
Образование
О
Образование-и-коммуникации
Voina2022
Voina2022
02.11.2020 21:53 •  Геометрия

Пристани а и в расположены на реке скорость течения который на этом участке равна 4 км в час лодка проходит от а до в и обратно без остановок со средней скоростью 6 км в час найдите собственную скорость лодки. решите подробно

👇
Ответ:
Dadahkkkaaa001
Dadahkkkaaa001
02.11.2020
Пусть S - расстояние между пристанями (в км).
Пусть х км/ч - собственная скорость лодки. Тогда
(х+4) км/ч = V1 - скорость лодки по течению,
(х-4) км/ч = V2 - скорость лодки против течения.
Обозначим t1 ч - время пути по течению, t2 ч - время пути против течения.
Формула средней скорости v_{cp}=\dfrac{S+S}{t_1+t_2}=\dfrac{2s}{t_1+t_2}
Поработаем с этой формулой:
v_{cp}=\dfrac{2s}{t_1+t_2}=\dfrac{2s}{\frac{s}{v_1}+\frac{s}{v_2}}=\dfrac{2}{\frac{1}{v_1}+\frac{1}{v_2}}=\dfrac{2v_1v_2}{v_1+v_2}
Подставим в это выражение скорости v1 и v2:
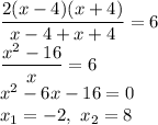
\dfrac{2(x-4)(x+4)}{x-4+x+4}=6\\ \dfrac{x^2-16}{x}=6\\ x^2-6x-16=0\\
x_1=-2,\ x_2=8
По смыслу задачи х=8 (км\ч) -собственная скорость лодки.
ответ: 8 км\ч.
4,6(15 оценок)
Открыть все ответы
Ответ:
LizaIvaskevich
LizaIvaskevich
02.11.2020

Объяснение:     Чтобы найти расстояние d от пункта A до недоступного пункта C, на местности выбрали точку B и измерили длину с отрезка AB и углы α и β. Найдите расстояние от пункта A до пункта C, если AB = 30 м, α = 60°, β = 45°

————  

    Сделав рисунок по условию задачи, получим треугольник АВС с основанием АВ и углами ∠САВ=60° и ∠СВА=45°.

Из суммы углов треугольника ∠АСВ=180°-(45°+60°)=75°

По т.синусов АВ:sin75°=AC:sin45°.

Табличное значение sin75°= (√3+1)/2√2;   sin45°=√/2 ⇒

30•2√2:(√3+1)=d:(√2/2) ⇒

AС=d= 60/(√3+1) или ≈ 21,96 м.


Чтобы найти расстояние d от пункта а до недоступного пункта с на местности выбрали точку b и измерил
4,5(52 оценок)
Ответ:
Dbrf30122222
Dbrf30122222
02.11.2020

ответ:

1. р = 18см.

2 ас = 30/(√3+1) м.

объяснение:

площадь треугольника равна (1/2)·a·b·sinα, где a и b - стороны треугольника, а α - угол между этими сторонами. в нашем случае

а = 3х, b = 8x, sinα = √3/2.   тогда

(1/2)·24х²·(√3/2) = 6√3   =>   x = 1 см.  

имеем две стороны треугольника: 3см и 8см.

по теореме косинусов находим третью сторону:

х = √(3²+8²- 2·3·8·cos60) = √49 = 7см.

периметр треугольника равен 3+8+7 = 18см.

2. по теореме синусов в треугольнике авс:

ас/sinβ = ab/sinc.

∠c = 180 - 60 - 45 = 75°.   sin75° = sin(45+30). по формуле

sin(45+30) = sin45·cos30 + cos45·sin30 = (√6+√2)/4.

тогда ас = ав·sinβ/sinc = (30·√3/2)/((√6+√2)/4). или

ас = 60/((√6+√2) = 60/(√2(√3+1)) = 30/(√3+1) м.

4,7(16 оценок)
Новые ответы от MOGZ: Геометрия
logo
Вход Регистрация
Что ты хочешь узнать?
Спроси Mozg
Открыть лучший ответ