М
Молодежь
К
Компьютеры-и-электроника
Д
Дом-и-сад
С
Стиль-и-уход-за-собой
П
Праздники-и-традиции
Т
Транспорт
П
Путешествия
С
Семейная-жизнь
Ф
Философия-и-религия
Б
Без категории
М
Мир-работы
Х
Хобби-и-рукоделие
И
Искусство-и-развлечения
В
Взаимоотношения
З
Здоровье
К
Кулинария-и-гостеприимство
Ф
Финансы-и-бизнес
П
Питомцы-и-животные
О
Образование
О
Образование-и-коммуникации
mayerok
mayerok
02.10.2022 11:06 •  Геометрия

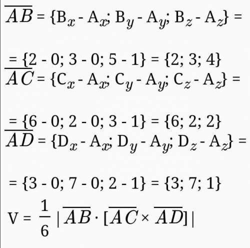
решить задачу по высшей математике: Заданы точки A(0;0;1),B(2;3;5),C(6;2;3),D(3;7;2). Найдите объем тетраэдра
ABCD .

👇
Ответ:

..........................................


решить задачу по высшей математике: Заданы точки A(0;0;1),B(2;3;5),C(6;2;3),D(3;7;2). Найдите объем
решить задачу по высшей математике: Заданы точки A(0;0;1),B(2;3;5),C(6;2;3),D(3;7;2). Найдите объем
4,5(23 оценок)
Открыть все ответы
Ответ:
LionesBastia
LionesBastia
02.10.2022

Обозначим первый угол треугольника через х.

Второй угол треугольника в три раза больше первого. Значит величина второго угла 3х.

Он же должен быть на пять градусов меньше третьего. Значит Третий угол на пять градусов больше второго. Величина третьего угла: 3х+5°.

Сумма трех углов в треугольнике 180°.

Составляем уравнение:

х+3х+3х+5°=180°

7х=180°-5°

7х=175°

х=175°:7

х=25°

Первый угол в треугольнике 25°.

Второй угол в треугольнике: 3х=3*25°=75°.

Третий угол в треугольнике: 3х+5°=75°+5°=80°.

ответ: 25°, 75°, 80°.

4,5(90 оценок)
Ответ:
madama1994
madama1994
02.10.2022
А). Построение понятно из рисунка.
б). АС=8√2, ОТ=4√2, ВН=(3/4)*BD=6√2. МР=√(144-32)=√112=4√7.
ВМ/ВК=ВD/BH=4/3. Значит КН параллельна МD и равна (3/4)*MD=9.
Если прямая параллельна прямой лежащей в плоскости,
то она параллельна и самой плоскости.
Что и требовалось доказать.
в). Треугольник ВКН равнобедренный. FH=(1/2)*BH=3√2.
Найдем ЕР. Т.к. КН||МD (доказано), из подобия треугольников КВН и МВD
находим КН=9.  Но РН=НD, и тогда ЕН - средняя линия ∆ РМD,
Е - середина МР, и ЕР=МР/2=2√7. Попутно ЕН=0,5*MD=6, КЕ=9-6=3.
Тр-ки АMP и AQJ подобны (так как QJ параллельна МР), с коэффициентом QJ/MP или k=(2√7)/(4√7)=1/2.
Найдем AQ=(1/2)*AM=6, и из подобия AMC и QMN найдем QN=(1/2)*АС=4√2.
Тогда площадь сечения OQKNT равна сумме площадей треугольника
QKN и параллелограмма (так как QN=ОТ и QN||ОТ) OQNT.
Sqkn=(1/2)*QN*KE или Sqkn=(1/2)*4√2*3=6√2.
Soqnt=OT*EH или Soqnt=4√2*6=24√2.
Sqoknt=Sqkn+Soqnt или Sqoknt=6√2+24√2=30√2.
ответ:Sqoknt=30√2.

Мавсд-- правильная четырехугольная пирамида. точки о и т середины ребер ад и дс. точка к делит ребро
4,8(32 оценок)
Это интересно:
Новые ответы от MOGZ: Геометрия
logo
Вход Регистрация
Что ты хочешь узнать?
Спроси Mozg
Открыть лучший ответ