М
Молодежь
К
Компьютеры-и-электроника
Д
Дом-и-сад
С
Стиль-и-уход-за-собой
П
Праздники-и-традиции
Т
Транспорт
П
Путешествия
С
Семейная-жизнь
Ф
Философия-и-религия
Б
Без категории
М
Мир-работы
Х
Хобби-и-рукоделие
И
Искусство-и-развлечения
В
Взаимоотношения
З
Здоровье
К
Кулинария-и-гостеприимство
Ф
Финансы-и-бизнес
П
Питомцы-и-животные
О
Образование
О
Образование-и-коммуникации
ДимаПохитун
ДимаПохитун
29.01.2021 14:34 •  Геометрия

Даны уравнения двух сторон треугольника 3x+y-8=0, 3/2x+2y-1=0 и уравнение одной из его биссектрис x-y+2=0 найти уравнение третьей стороны

👇
Ответ:
en228
en228
29.01.2021
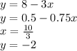
3x+y-8=0\\
1.5x+2y-1=0\\\\ 
 y=8-3x\\
 y=0.5-0.75x 
У них коэффициент при прямой <0  
Значит они направлены по одну сторону относительно к друг другу . 
y=x+2\\&#10; 10    
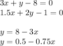
То есть биссектриса направлена , к стороне  y=8-3x , точка пересечения 
0.5-0.75x=x+2\\&#10;x=-\frac{6}{7}\\&#10;y=\frac{8}{7}\\\\&#10;y=x+2 \\&#10;y=8-3x \\\\&#10;x=\frac{3}{2}\\&#10;y=\frac{7}{2} \\\\&#10;&#10; 
То есть биссектриса имеет  начало и конец   в очках    (-\frac{6}{7};\frac{8}{7}) \ \cup \ (\frac{3}{2};\frac{7}{2})\\ 
Точка пересечения 
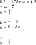
y=8-3x\\&#10; y=0.5-0.75x\\&#10; x=\frac{10}{3}\\&#10; y=-2\\\\&#10; 
То есть часть отрезка на которые поделила биссектриса равна 
\sqrt{(\frac{10}{3}-\frac{3}{2})^2+(-2-\frac{7}{2})^2}=\frac{11\sqrt{10}}{6}\\&#10; 
Длина стороны 
\frac{110}{21}   
Координаты третьей стороны 
 (x;y)
По теореме о биссектрисе  
 \frac{\sqrt{ (x+\frac{6}{7})^2+(y-\frac{8}{7})^2}*21}{110}=\frac{\sqrt{(\frac{3}{2}-x)^2+(\frac{7}{2}-y^2)}*6}{11\sqrt{10}}\\&#10;
  y=8-3x 

Решая получим  что     уравнение      стороны                   
     y=-\frac{4x}{3}
     
 
 
4,8(65 оценок)
Открыть все ответы
Ответ:
tupykomiks
tupykomiks
29.01.2021

(см. объяснение)

Объяснение:

Т.к. все медианы треугольника пересекаются в одной точке, то CD проходит через точку O. Медианы точкой пересечения делятся 2:1, считая от вершины. Тогда BO=8 и AO=6. Т.к. медианы AM и BK пересекаются под прямым углом, то треугольник AOB прямоугольный, тогда его медиана OD равна половине гипотенузы, которую можно найти по теореме Пифагора, как AB²=BO²+AO² => AB=10. Тогда OD=5. Применив еще раз свойство деления медиан точкой пересечения, получим, что CD=15.

Задача решена!


Mедианы AM и BK треугольника ABC равны 9 см и 12 см соответственно, а угол между ними равен 90°. Най
4,8(46 оценок)
Ответ:
Вика310387
Вика310387
29.01.2021
1)г.
2)б.
3)а.
4)в.
5)я прикрепила картинку к этому заданию.Не забудь написать «Дано: треугольникABC; a=7;b=8;c=5. Найти : <А-?» ответ , кстати , в конце <А=60 градусов.(просто не поместилось.)
6)AB=10x​

​S=pr​

​p=13x+13x+10x2=18x​

​S=p(p−13x)(p−13x)(p−10x)‾‾‾‾‾‾‾‾‾‾‾‾‾‾‾‾‾‾‾‾‾‾‾‾‾‾‾√​ — по формуле Герона.

приравниваем два равенства и находим х

​10∗18x=p(p−13x)(p−13x)(p−10x)‾‾‾‾‾‾‾‾‾‾‾‾‾‾‾‾‾‾‾‾‾‾‾‾‾‾‾√​180x=18x∗5x∗5x∗8x‾‾‾‾‾‾‾‾‾‾‾‾‾‾‾‾‾√

​180x=60x2​

​x=3​

​AB=10x=30​

ответ: 30

7) если СК биссектриса, то по ее свойству если СЕ/СВ=3:1 то и КЕ:ВК=3:1
Обозначим ВК=у, КЕ=3у значит, ВЕ=4у
т.к. угол ВОЕ центральный для угла С, то он=120 и тогда ∠ВОК=60
ВМ=ВО*sin 60
BM=8√3*√3/2=12 ВЕ=4у=24 ⇒ у=6 3у=3*6=18

8) 1. Теорема синусов для треугольника КОР KP/sin KOP=OP/sin OKP sin OKP=3*sqrt2*sqrt2/2/5=3/5 cos^2(OKP)=1-sin^2(OKP)=(4/5)^2 Т.к. КОР тупой, то ОКР острый, cos OKP=4/5
2. sin OPK=sin(180-KOP- OKP)=sin(KOP+OKP)=sin KOP*cos OKP+cos KOP*sin OKP sin OPK=sqrt2/2*(4/5-3/5)=sqrt2/10
3. S(KMP)=2*S(KOP)=OP*KP*sin OPK=3*sqrt2*5* sqrt2/10=3

9) Если диагонали трапеции перпендикулярны, то площадь можно найти по следующим формулам: S-Һв квадрате, где һ-высота или S-(a+b)в квадрате/4, где а иb -основания Воспользуемся последней формулой!Т к дана длина ср линии трапеции, то можно найти сумму длин оснований трапеци: ср линия3 1/2(а+b); 5%31/2(а+b); (а+b)-10см Найдем S- (а+b)в квадрате/4 %3D10в квадрате/ 4-25см2

10)в.
4,4(31 оценок)
Это интересно:
Новые ответы от MOGZ: Геометрия
logo
Вход Регистрация
Что ты хочешь узнать?
Спроси Mozg
Открыть лучший ответ