М
Молодежь
К
Компьютеры-и-электроника
Д
Дом-и-сад
С
Стиль-и-уход-за-собой
П
Праздники-и-традиции
Т
Транспорт
П
Путешествия
С
Семейная-жизнь
Ф
Философия-и-религия
Б
Без категории
М
Мир-работы
Х
Хобби-и-рукоделие
И
Искусство-и-развлечения
В
Взаимоотношения
З
Здоровье
К
Кулинария-и-гостеприимство
Ф
Финансы-и-бизнес
П
Питомцы-и-животные
О
Образование
О
Образование-и-коммуникации
M5063
M5063
29.06.2021 06:08 •  Геометрия

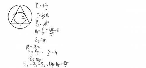
Около правильного треугольника описана окружность и в него вписана окружность.вычислите площадь кольца,ограниченного этими окружностями,если известно, что длина описанной окружности равна 16π

👇
Ответ:
vikaberg
vikaberg
29.06.2021
Вот ответ, прости за почерк

Около правильного треугольника описана окружность и в него вписана окружность.вычислите площадь коль
4,7(81 оценок)
Открыть все ответы
Ответ:
uoo32771
uoo32771
29.06.2021
Площадь треугольника равна половине произведения его высоты на сторону, к которой проведена. 
Сторона, к которой проведена высота, равна 3+12=15 м. 
Высоту нужно найти. 
Высота прямоугольного треугольника, проведенная из вершины прямого угла, есть среднее пропорциональное между отрезками, на которые делится гипотенуза этой высотой;⇒
h²=3*12=36
h=√36=6 (м)
Ѕ=h*a:2
S=6*15:2=45 м²
Периметр - сумма всех сторон многоугольника. В данном случае сумма длин катетов и гипотенузы:
Р=a+b+c
а=√(3*15)=3√5 м
b=√(12*15)=6√5 м
Р=15+9√5 (м)
Катеты можно найти и по т. Пифагора, затем найти площадь половиной их произведения.  
4,8(9 оценок)
Ответ:
2007умник22837
2007умник22837
29.06.2021

75 см²

Объяснение:

Прямоугольные треуг-ки ВНС и АН1С подобны по первому признаку подобия: два угла одного треуг-ка соответственно равны двум углам другого. В нашем случае углы АН1С и ВНС прямые, а угол С - общий. Для подобных треугольников можно записать отношение сходственных сторон:

ВН:АН1=10:12, k=5/6, СН:СН1=5:6, отсюда

CH1=6CH:5

В прямоугольном треуг-ке АН1С по теореме Пифагора находим АС:

АС²=AH1²+CH1²

Т.к. в равнобедренном треуг-ке АВС высота ВН, проведенная к основанию, является также и медианой, то СН=1/2АС, и выражение CH1=6CH:5 примет такой вид:

СН1=3АС:5.

Это значение для СH1 будем использовать в вычислении по теореме Пифагора:

АС²=12² + 9AC²/25

AC² - 9AC²/25=144

16AC²=3600

AC² = 225

AC=15 см

S ABC = 1/2AC*BH=7,5*10=75 см²

4,7(96 оценок)
Это интересно:
Новые ответы от MOGZ: Геометрия
logo
Вход Регистрация
Что ты хочешь узнать?
Спроси Mozg
Открыть лучший ответ