М
Молодежь
К
Компьютеры-и-электроника
Д
Дом-и-сад
С
Стиль-и-уход-за-собой
П
Праздники-и-традиции
Т
Транспорт
П
Путешествия
С
Семейная-жизнь
Ф
Философия-и-религия
Б
Без категории
М
Мир-работы
Х
Хобби-и-рукоделие
И
Искусство-и-развлечения
В
Взаимоотношения
З
Здоровье
К
Кулинария-и-гостеприимство
Ф
Финансы-и-бизнес
П
Питомцы-и-животные
О
Образование
О
Образование-и-коммуникации
вор9
вор9
22.09.2020 03:17 •  Геометрия

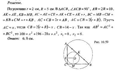
Впрямоугольный треугольнк вписана окружность радиусом 2 см и описана радиусом 5 см. найти больший катет треугольника

👇
Ответ:
crasheftf
crasheftf
22.09.2020
В прямоугольный треугольнк вписана окружность радиусом 2 см и описана радиусом 5 см. Найти больший катет треугольника
Впрямоугольный треугольнк вписана окружность радиусом 2 см и описана радиусом 5 см. найти больший ка
4,4(41 оценок)
Открыть все ответы
Ответ:
KsunyaCernecova
KsunyaCernecova
22.09.2020

ответ: 12 (ед. длины)

Объяснение:  

 Одна из формул биссектрисы треугольника

                 L={2ab•cos(0,5γ)}:(a+b) ,

где L биссектриса, а и b- стороны, γ - угол между ними.

На приведенном рисунке АК - биссектриса ∆ АВС, АС=а, АВ=6,  угол А=γ =120°

cos0,5γ=cos60°=1/2

4=2a•6•0,5/(a+6) =>

4a+24=6a =>

АС=a=12 (ед. длины)

Или с тем же результатом найти:

1) По т. косинусов из ∆ АКВ найти КВ

2) по т. синусов из ∆ АКВ угол В

3) из суммы углов треугольника угол С

4) по т. синусов вычислить длину искомой стороны АС


В треугольнике ABC угол A равен 120∘. Известно, что AB=6, а биссектриса угла A равна 4. Найдите длин
4,4(17 оценок)
Ответ:
Levera2005
Levera2005
22.09.2020

ответ: S=60см²

Объяснение: высота данного треугольника делит его на 2 прямоугольных треугольника, в котором боковая сторона- это гипотенуза, а высота- это катет. По теореме Пифагора найдём 2-й катет получившегося прямоугольного треугольника:

13²-12²=√(169-144)=√25=5см

Мы нашли часть основания первоначального треугольника и, зная, что он равнобедренный, то высота, проведённая к основанию, является ещё и медианой и делит это основание пополам, поэтому часть найденного основания равна второй его части и равна 5см. Поэтому основание треугольника будет: 5×2=10см; основание=10см.

Зная, что площадь треугольника равна полупроизведению его высоты на основание, к которому проведена, найдём площадь треугольника по формуле: ½×а×h, где h-высота, "а"-сторона, к которой проведена высота:

½×10×12=60см²; S=60см²

4,7(44 оценок)
Это интересно:
Новые ответы от MOGZ: Геометрия
logo
Вход Регистрация
Что ты хочешь узнать?
Спроси Mozg
Открыть лучший ответ