М
Молодежь
К
Компьютеры-и-электроника
Д
Дом-и-сад
С
Стиль-и-уход-за-собой
П
Праздники-и-традиции
Т
Транспорт
П
Путешествия
С
Семейная-жизнь
Ф
Философия-и-религия
Б
Без категории
М
Мир-работы
Х
Хобби-и-рукоделие
И
Искусство-и-развлечения
В
Взаимоотношения
З
Здоровье
К
Кулинария-и-гостеприимство
Ф
Финансы-и-бизнес
П
Питомцы-и-животные
О
Образование
О
Образование-и-коммуникации
gulsaakamaeva
gulsaakamaeva
30.09.2020 15:16 •  Геометрия

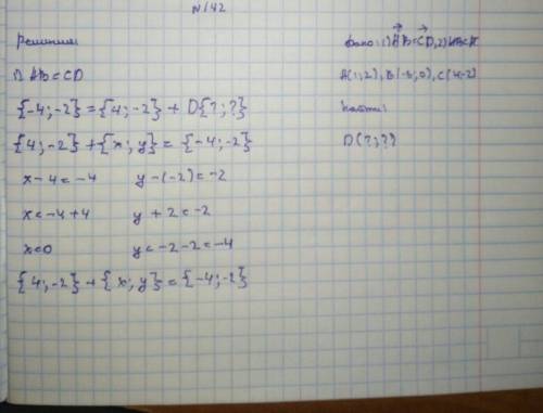
Даны точки а (1; 2),в(-3,0),с(4; -2).определите координаты точки d так чтобы выполнялось равенство: ав=dc

👇
Ответ:
VikaCat3364
VikaCat3364
30.09.2020
Вот пожайлусто,там сам разберешся там не так тяжело я с начало тоже искал но не нашел пришлося самому разбираться!)
Даны точки а (1; 2),в(-3,0),с(4; -2).определите координаты точки d так чтобы выполнялось равенство:
4,4(72 оценок)
Открыть все ответы
Ответ:
daria2512
daria2512
30.09.2020
Делаешь такой чертеж.Проводишь линию кот . изображает человека.
на некотором расстоянии от него проводишь другую линию  повыше- это будет столб с фонарем.соединяешь и продолжаешь дальше  где должна быть тень                                              |   примерно так. одна вертикальная
                      ||                                  
  черточка - человек две вертикальные черточки -   столб.Теперь точки соединяешь у тебя получится треугольник.который состоит из двух подобных треугольников. Высоту фонаря обозначим х. Составляешь пропорцию            9 : 1.8 = ( 9+ 16 ) \ х       х = 1.8 * 25 \ 9 = 5 метров  высота фрнаря                                   

 
4,4(96 оценок)
Ответ:
yura23424
yura23424
30.09.2020
Делаешь такой чертеж.Проводишь линию кот . изображает человека.
на некотором расстоянии от него проводишь другую линию  повыше- это будет столб с фонарем.соединяешь и продолжаешь дальше  где должна быть тень                                              |   примерно так. одна вертикальная
                      ||                                  
  черточка - человек две вертикальные черточки -   столб.Теперь точки соединяешь у тебя получится треугольник.который состоит из двух подобных треугольников. Высоту фонаря обозначим х. Составляешь пропорцию            9 : 1.8 = ( 9+ 16 ) \ х       х = 1.8 * 25 \ 9 = 5 метров  высота фрнаря                                   

 
4,5(33 оценок)
Новые ответы от MOGZ: Геометрия
logo
Вход Регистрация
Что ты хочешь узнать?
Спроси Mozg
Открыть лучший ответ