М
Молодежь
К
Компьютеры-и-электроника
Д
Дом-и-сад
С
Стиль-и-уход-за-собой
П
Праздники-и-традиции
Т
Транспорт
П
Путешествия
С
Семейная-жизнь
Ф
Философия-и-религия
Б
Без категории
М
Мир-работы
Х
Хобби-и-рукоделие
И
Искусство-и-развлечения
В
Взаимоотношения
З
Здоровье
К
Кулинария-и-гостеприимство
Ф
Финансы-и-бизнес
П
Питомцы-и-животные
О
Образование
О
Образование-и-коммуникации
litovka
litovka
30.04.2022 18:01 •  Қазақ тiлi

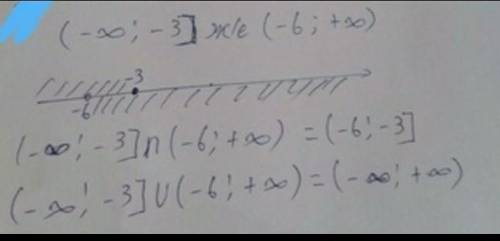
Берілген сан аралықтарының сан түзуінде кескіндеп, қиылысуы мен бірігуін жазыңыз: (−∞;−3] және (−5;+∞)

👇
Ответ:
ирмук
ирмук
30.04.2022

вот ответ на фото

поставь лучший ответ


Берілген сан аралықтарының сан түзуінде кескіндеп, қиылысуы мен бірігуін жазыңыз: (−∞;−3] және (−5;+
4,7(45 оценок)
Открыть все ответы
Ответ:
pol422
pol422
30.04.2022

Қыс

Қыс мезгілі де келіп жетті. Айнала ақ ұлпа қарға оранып, аппақ болып жатыр. Қыс мезгілінде аяз болғанымен, бұл балалар үшін өте қызық мезгіл. Себебі, балалар қыста шаңғы мен коньки теуіп, төбешіктен шанаға мініп сырғанайды. Енді кейбіреулері қардан аққала жасап, басқалары қар лактырысып ойнайды.

Қыс мезгілі сонымен қатар барша адам тағаттана күтетін Жаңа жыл мерекесімен ерекшеленеді. Жаңа жыл алдында оқушылар кезекті демалысқа шығып, армансыз ойнап, біраз тынығады.


Зима

Настала зима. Все вокруг покрыто белоснежным снегом. Хоть зимой и морозно, но всё же это самое весёлое время для детворы. Потому что, дети катаются на лыжах и коньках, скатываются с горки на санках. Некоторые лепят снеговика, а другие играют в снежки.

Зимой также отмечается Новый год, праздник, который все ждут с нетерпением. Перед новым годом все дети выходят на каникулы, играют вдоволь и отдыхают.

4,4(23 оценок)
Ответ:
lucykessidi007
lucykessidi007
30.04.2022
Өзіңізге кергін аларсыз арасынан

Қазақта «ас атасы – нан» деген сөз бар, яғни астың, дәмнің үлкені – нан. Бала ақ пен қараны ажыратып танымай тұрып-ақ оған оң қолына нан ұстауды, нанды баспауды, тастамауды үйретеді. Нан қасиетті. Адам кез келген тамақты екі күн жесе, ол қанша нәрлі болғанымен сол тамақтан жалығады. Ал бірақ а өмір бойы наннан шықпайды, наннан зерікпейді, жалықпайды. Дастарқаныңыздың үстінде күнде нан тұрмаса, көңіліңіз де, дастарқаныңыз да – орта, берекеңіз кетіп, дүние ойсырап тұрған секілді басқа тамақ көзіңізге көрінбейді. Нанның қасиеттілігінің өзі осыдан-ақ көрінеді. Ұнның құрамындағы адамның бойына нәр беретін, куат беретін ағзаға қажеттінің бәрі бар. Өзге халықты қайдам, қазақтың нансыз күні жоқ деуге болады. Қазақта «қатықсыз қара су ішіп, қара нан жесек те, амандық болсын» деген де сөз бар ғой… «Нанды жерге тастама», «нанның үстіне зат қойма», «нанды төңкерме», «нанды бір қолмен үзбе» деген сөздің барлығы – сол нанның қасиетіне орай айтылған тыйымдар. Тіпті адам ашыққан кезде қолы жетпейтін биікте тұрған нанды Құранның үстіне шығып алуға болады екен, бірақ нанның өзін ешқашан баспаған. Нанның қасиетті Құраннан да жоғары бағаланатынын осыдан-ақ білуге болады. «Адам атамыз бен Хауа анамыз пейіштен қуылған кезде ит бірге ілесіп кетіп, сонда бидай иттің ұртында келген дейді. Итті «жеті қазынаның бірі» дейтін себебіміз адамзат сол иттің ырыздығын жеп жүр» деген бұрыннан келе жатқан аңыз бар. Бір таңданарлығы, жер бетінде басқа дақылдардың, жемістердің барлығының жабайы түрі бар. Айталық, алманың, жуаның, сұлының дегендей, барлығының жабайы түрі табиғатта кездеседі, бірақ бидайдың жабайы түрі жоқ. Сол себептен де, қазіргі тілмен айтсақ, бидайдың ғарыштан келгеніне иланасың. Шынымен, осы қисынға, «бұл жердің дәні емес, бізге бейнебір ғарыштан жеткен» дегенге біртүрлі сенгің келеді. Үйге келген кез келген адам асығыс болса да, өзге тамақтан емес, наннан ауыз тиіп шығады. Адамдардың арасындағы ынтымақ бірлік, бір-біріне деген жақсы қарым-қатынас, ауызбіршілік дастарқанның үстіне қойылған нан арқылы нығая түседі, яғни өзі нан ауыз тиген үйіне қазақ жамандық тілемеген. Нанын берген адамға жамандық ойламаған. Қазақтың «бір күн дәм татқан жерге қырық күн сәлем» дейтін сөзі осыдан келіп шыққан.
4,7(99 оценок)
Это интересно:
Новые ответы от MOGZ: Қазақ тiлi
Полный доступ к MOGZ
Живи умнее Безлимитный доступ к MOGZ Оформи подписку
logo
Вход Регистрация
Что ты хочешь узнать?
Спроси Mozg
Открыть лучший ответ