М
Молодежь
К
Компьютеры-и-электроника
Д
Дом-и-сад
С
Стиль-и-уход-за-собой
П
Праздники-и-традиции
Т
Транспорт
П
Путешествия
С
Семейная-жизнь
Ф
Философия-и-религия
Б
Без категории
М
Мир-работы
Х
Хобби-и-рукоделие
И
Искусство-и-развлечения
В
Взаимоотношения
З
Здоровье
К
Кулинария-и-гостеприимство
Ф
Финансы-и-бизнес
П
Питомцы-и-животные
О
Образование
О
Образование-и-коммуникации
оьмдды
оьмдды
26.03.2020 14:05 •  Химия

Кн.у. газ, который при – 33с и 4,052∙105па занимает объем 12м3.

👇
Ответ:
юлия1764
юлия1764
26.03.2020
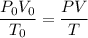
Воспользуемся формулой объединенного газового закона
\dfrac{P_{0}V_{0}}{T_{0}} = \dfrac{PV}{T}
Считаем какой объем занимает газ при нормальных условиях
V_{0} = \dfrac{PVT_{0}}{P_{0}T} = \dfrac{4.052 \cdot 10^{5} \cdot 12 \cdot 273}{1.01325 \cdot 10^{5} \cdot 306} \approx \bf{42.8 \; m^{3}}
4,6(42 оценок)
Открыть все ответы
Ответ:
ира10141
ира10141
26.03.2020
Находим каличества вещества алюминия и оксида
32,4/27=1,2 моль
64/160=0,4 моль
уравнение реакции
 0,8     0,4                   0,8
2Al+Fe2O3→AI2O3+2Fe
2         1                        2
из уравнении видно что 0,8 моль алюминия израсходуется и
1,2-0,8=0,4моль остается в избытке и образуется 0,8 моль железо.
 0,4                           0,6      0,8                         0,8
2AI+6HCI→2AICI3+3H2    Fe+2HCI→FeCI2+H2   всего образуется 
2                                 3       1                            1
0,6+0,8=1,4моль водорода и его объем 1,4*22,4=31,36 л
4,6(93 оценок)
Ответ:
Boikamen
Boikamen
26.03.2020
Амальгама это сплав металлов с ртутью
2х                                          х 
2Ag+ 2H2SO4→Ag2SO4 +SO2+2H2O(1)
у                                     у
Hg+2H2SO4→HgSO4+SO2+2H2O(2)

NaOH+SO2→NaНSO3+H2O(3)
Масса щелочи в растворе   16*0,2=3,2 г
количества вещества щелочи 3,2/40=0,08моль
это означает,что по (3) реакции количества вещества сернистого газа 0,08моль
пусть в смеси металлов было 2х моль серебра и у моль ртути ,составим систему
х+у=0,08
216х+201у=16,68 оттуда х=0,04моль и у =0,04 моль
масса серебра=216*0,04=8,64г
массовая доля серебра 8,64/16,68=0,518 или 51,8% 
массовая доля ртути 100-51,8=48,2%
4,6(82 оценок)
Новые ответы от MOGZ: Химия
logo
Вход Регистрация
Что ты хочешь узнать?
Спроси Mozg
Открыть лучший ответ