М
Молодежь
К
Компьютеры-и-электроника
Д
Дом-и-сад
С
Стиль-и-уход-за-собой
П
Праздники-и-традиции
Т
Транспорт
П
Путешествия
С
Семейная-жизнь
Ф
Философия-и-религия
Б
Без категории
М
Мир-работы
Х
Хобби-и-рукоделие
И
Искусство-и-развлечения
В
Взаимоотношения
З
Здоровье
К
Кулинария-и-гостеприимство
Ф
Финансы-и-бизнес
П
Питомцы-и-животные
О
Образование
О
Образование-и-коммуникации
ЛОЛКЕК12346
ЛОЛКЕК12346
04.04.2021 10:26 •  Математика

815. даны прямоугольник и квадрат. длина прямоугольника 12 см. сторона квадрата на 1 см меньше, чем ширина прямоугольника. периметр квадрата на 10 см меньше, чем периметр прямоугольника.
найдите ширину прямоугольника.

👇
Ответ:
Neznaika123shsgwheh
Neznaika123shsgwheh
04.04.2021

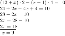
Ширина прямоугольника x см. Его периметр (12+x)·2.

Сторона квадрата x-1 см. Его периметр (x-1)·4, что на 10 см меньше периметра прямоугольника.

(12+x)\cdot2-(x-1)\cdot4=10\\24+2x-4x+4=10\\28-2x=10\\2x=28-10\\2x=18\\\boxed{x=9}

4,7(99 оценок)
Открыть все ответы
Ответ:
ladykyzya2017
ladykyzya2017
04.04.2021
Скульптура Римской Империи

Задача искусства любой империи - возвеличивать императора и державу. Рим - не исключение. Римляне эпохи империи не представляли свой

Колонна Марка Аврелия
В первую очередь, внимания заслуживают триумфальные колонны Траяна и Марка Аврелия. Колонны украшены барельефами, повествующими о военных походах, подвигах и трофеях. Подобные рельефы - это не только произведения искусства, поражающие точностью изображений, многофигурностью композиции, гармоничностью линий и тонкостью работы, это еще и бесценный исторический источник, позволяющий восстановить бытовые и военные детали эпохи империи.

Статуи императоров на форумах Рима выполнены в суровой, грубой манере. Здесь уже нет и следа от той греческой гармонии и красоты, которая была характерна для раннего римского искусства. Мастера, в первую очередь, должны были изображать сильных и жестких правителей. Произошел и отход от реализма. Римские императоры изображались атлетически сложенными, высокими, несмотря на то, что редко кто из них отличался гармоничным телосложением.

Практически всегда во времена Римской империи скульптуры богов изображались с лицами правящих императоров, поэтому историкам достоверно известно, как выглядели императоры самого большого античного государства.

Несмотря на то, что римское искусство, без всякого сомнения, вошло в мировую сокровищницу множества шедевров, по своей сути оно является лишь продолжением древнегреческого. Римляне развили античное искусство, сделали его пышнее, величественнее, ярче. С другой стороны, именно римляне утратили чувство меры, глубину и идейную наполненность раннего античного искусства.
4,7(21 оценок)
Ответ:
Anara2017
Anara2017
04.04.2021
Главным достоинством Древнеримской скульптуры является реалистичность и достоверность образов. В первую очередь, это связано с тем, что у римлян был силен культ предков, и с самого раннего периода римской истории существовал обычай снимать посмертные восковые маски, которые позже за основу скульптурных портретов брали мастера скульптуры.

Само понятие "древнеримское искусство" имеет весьма условный смысл. Все римские скульпторы были по происхождению греками. В эстетическом смысле вся древнеримская скульптура - реплика греческой. Новшеством стало соединение греческого стремления к гармонии и римской жесткости и культа силы.

История древнеримской скульптуры подразделяется на три части - искусство этрусков, пластика эпохи республики и имперское искусство.
4,8(95 оценок)
Это интересно:
Новые ответы от MOGZ: Математика
logo
Вход Регистрация
Что ты хочешь узнать?
Спроси Mozg
Открыть лучший ответ