М
Молодежь
К
Компьютеры-и-электроника
Д
Дом-и-сад
С
Стиль-и-уход-за-собой
П
Праздники-и-традиции
Т
Транспорт
П
Путешествия
С
Семейная-жизнь
Ф
Философия-и-религия
Б
Без категории
М
Мир-работы
Х
Хобби-и-рукоделие
И
Искусство-и-развлечения
В
Взаимоотношения
З
Здоровье
К
Кулинария-и-гостеприимство
Ф
Финансы-и-бизнес
П
Питомцы-и-животные
О
Образование
О
Образование-и-коммуникации
oganyanrobert
oganyanrobert
02.12.2021 09:06 •  Математика

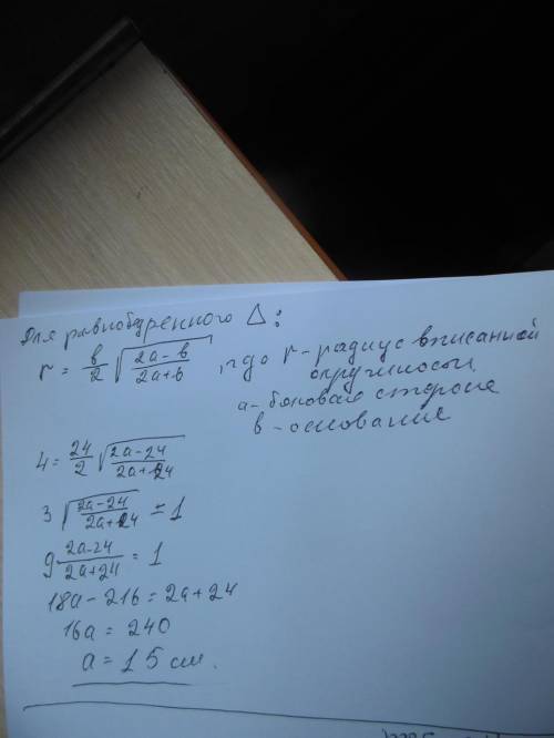
В равнобедренном треугольнике длина основания равна 24 см, а радиус вписанной окружности 4 см. Найдите длину боковой стороны.

👇
Ответ:
ghbdtnzujdyjfns
ghbdtnzujdyjfns
02.12.2021

15 см

решение смотри ниже

Пошаговое объяснение:


В равнобедренном треугольнике длина основания равна 24 см, а радиус вписанной окружности 4 см. Найди
4,4(95 оценок)
Открыть все ответы
Ответ:
madhinamelinova
madhinamelinova
02.12.2021
Петя.
3 дня - 1 раз
Вася.
4 дня - 1 раз
Коля.
5 дней - 1 раз
Вместе.
дней = ?
Решение :
Для решения мы должны знать как находить Наименьшее Общее Кратное.
В этом случае нам даны три числа 3, 4 ,5 .
Кратное это число на которое делится наше число без остатка.
В этом случае, что бы найти кратное придется умножать.
Число 3.3 × 1 = 33× 2 =63 × 3 =93× 4 = 123 × 5 = 15(Мне долго это печатать я просто допишу цифры )18, 21,24, 27, 30,33, 36, 39,42,45,48,51,54,57,60,63.
Число 4.По такому же принципу.4× 1 = 44×2 = 24,8,12, 16,20,24,28,32,36,40,44,48,52,56,60,64.
Число 5. 5 × 1 = 5.., 10, 15,20,25,30,35,40,45,50,55,60,65.
И для чего все это ? 
Мы должны найти числа которые во всех ( 3, 4 ,5 ) должны совпасть. Это и есть Наименьшее Общее Кратное.
Так смотрим.
В числах 3 и 4 : совпадает 24Но в числе 5 : такого нету ( только 25 )Значит оно не подходит.
Оно должно совпасть везде.
Смотрим дальше.
Видим число 60.
Оно есть везде.
Значит оно подходит, и мы его берем.
Можнл записать так НОК чисел 3,4,5 = 60.
Это мы нашли дни, через сколько парни встретятся. ( Через 60 дней) 
Теперь найдем день недели.
Мы уже нашли через сколько дней они встретятся.
Мы знаем сколько дней в неделе. ( 7)
Мы сейчас узнаем сколько недель в 60 днях.
Для этого 60 : 7 = 8, 57...
Значит 8 недель, а остаток это дни.
5 дней, посчитаем. Пятый день недели это пятница.
Значит встретятся через 60 дней ( 8недель) в пятницу.
4,8(99 оценок)
Ответ:
kotia1799
kotia1799
02.12.2021
                      Площадь,м²                Длина,м                                Ширина,м     
Зал                    300                    равна д. коридора                    ?
Коридор         120                             ?                                             10  
Решение:
1) 120:10=12(м) - длина коридора
так как по условию длина зала и коридора одинаковая, то:
2) 300:12=25(м) - ширина зала
Но у вас не совсем верно написано условие (Зал и коридор имеют одинаковую длину площадь зала 300 м в квадрате а площадь коридора 120 м в квадрате ширина 10 м узнай Чему равна ширина коридораПопроси больше объяснений Следить Отметить нарушение БакытбекоЖакып 10 минут назад) Ширина 10 м и узнать опять же ширину коридора?
4,7(87 оценок)
Это интересно:
Новые ответы от MOGZ: Математика
logo
Вход Регистрация
Что ты хочешь узнать?
Спроси Mozg
Открыть лучший ответ