М
Молодежь
К
Компьютеры-и-электроника
Д
Дом-и-сад
С
Стиль-и-уход-за-собой
П
Праздники-и-традиции
Т
Транспорт
П
Путешествия
С
Семейная-жизнь
Ф
Философия-и-религия
Б
Без категории
М
Мир-работы
Х
Хобби-и-рукоделие
И
Искусство-и-развлечения
В
Взаимоотношения
З
Здоровье
К
Кулинария-и-гостеприимство
Ф
Финансы-и-бизнес
П
Питомцы-и-животные
О
Образование
О
Образование-и-коммуникации
тэ10л
тэ10л
25.10.2022 23:14 •  Математика

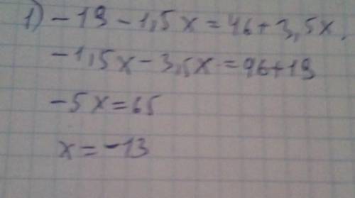
Реши уравнение:
−19−1,5x=46+3,5x.

👇
Ответ:
An0NimKa00
An0NimKa00
25.10.2022

СДЕЛАЙ МОЙ ОТВЕТ САМЫМ ЛУЧШИМ


Реши уравнение: −19−1,5x=46+3,5x.
4,7(28 оценок)
Открыть все ответы
Ответ:
Маришка1231
Маришка1231
25.10.2022

16 различных значений.

Пошаговое объяснение:

С(из5по1)+С(из5по2)+С(из5по3)+

+С(из5по4)+2×С(из5по5)=

=5!/4!+5!/2!3!+5!/2!3!+5!/4!+2×1=

=5+10+10+5+2=32 различных

расстановки знаков

"+" и "-" .Последний множитель

удвоен из соображений симмет

рии. (Один раз все 5 слагае

мых берем со знаком "+" и

один раз со знаком "-" )

Все остальные слагаемые в

сумме также симметричны (пов

торяются дважды).

Мы подсчитали максимально

возможное число комбина

ций со знаками "+" и "- ". Но по

условию необходимо опреде

лить число различных значе

ний сумм в составленных ком

бинациях. Раассмотрим эти

различные значения:

-1 -2 -3 -4 -5= -15 (2 раза)

То же со знаком "+".

-1 +2 -3 +4 -5= -3 (2раза)

Если поменять знаки на

противоположные, сумма

равна +3. Получаем повто

рение 3 со знаком "+" или

"-" в трех парах.

-1 -2 +3 +4 +5=9

Если поменять знаки, полу

чим -9. (повторение с раз

личными знаками у двух пар)

-1 +2 +3 +4 +5=13

При замене знаков получа

ем -13 (повторений нет).

+1 -2 -3 +4 +5=5

При замене знаков получа

ем -5 (повторение у трех пар).

-1 -2 +3 +4 -5= -1

"+"  "-" 1 повторение у 3 пар.

-1 +2 -3 +4+5=7

"+"  "-" 7 повторение у 2 пар.

+1 -2 +3 +4 +5=11

"+"  "-" 11 (повторений нет)

Подведем итог:

+-15                +-5

+-3                  +-1

+-9                  +-7

+-13                 +-11

Всего 16 различных

значений.

4,7(11 оценок)
Ответ:
Покрасьон
Покрасьон
25.10.2022

Оценка.

Предположим, что есть обжора (обжора А), съевший нечетное число пирожков. Тогда он не мог съесть вдвое больше, чем его сосед справа, значит, съел на 6 меньше. Получаем, что сосед справа тоже съел нечетное число пирожков. Повторяя эти рассуждения, получим убывающую арифметическую прогрессию количества съеденных пирожков с разностью 6. При этом мы начинаем двигаться от обжоры А по кругу, пока не дойдем до него снова. Получим, что обжора А съел меньше обжоры А (прогрессия строго убывает). Противоречие. Значит, обжоры, съевшего нечетное количество пирожков нет. Все съели четное количество. Следовательно, все пирожки не могли быть съедены. Количество оставшихся пирожков не менее 1.

Пример.

Покажем, что один пирожок мог остаться (то есть было съедено 98 пирожков). Рассмотрим обжору Б. Пусть он съел 2 пирожка. Следующий справа съел 8, следующий съел 4. Тогда в этой тройке всего съедено 14 пирожков. Поставим 7 таких троек друг за другом: (2, 8, 4), (2, 8, 4), ..., (2, 8, 4). Всего съедено 14*7=98 пирожков, то есть один остался. Легко видеть, что предъявленная расстановка отвечает требованиям условия.

ответ: 1 пирожок.

4,4(53 оценок)
Новые ответы от MOGZ: Математика
logo
Вход Регистрация
Что ты хочешь узнать?
Спроси Mozg
Открыть лучший ответ