М
Молодежь
К
Компьютеры-и-электроника
Д
Дом-и-сад
С
Стиль-и-уход-за-собой
П
Праздники-и-традиции
Т
Транспорт
П
Путешествия
С
Семейная-жизнь
Ф
Философия-и-религия
Б
Без категории
М
Мир-работы
Х
Хобби-и-рукоделие
И
Искусство-и-развлечения
В
Взаимоотношения
З
Здоровье
К
Кулинария-и-гостеприимство
Ф
Финансы-и-бизнес
П
Питомцы-и-животные
О
Образование
О
Образование-и-коммуникации
простой30
простой30
23.11.2022 13:38 •  Математика

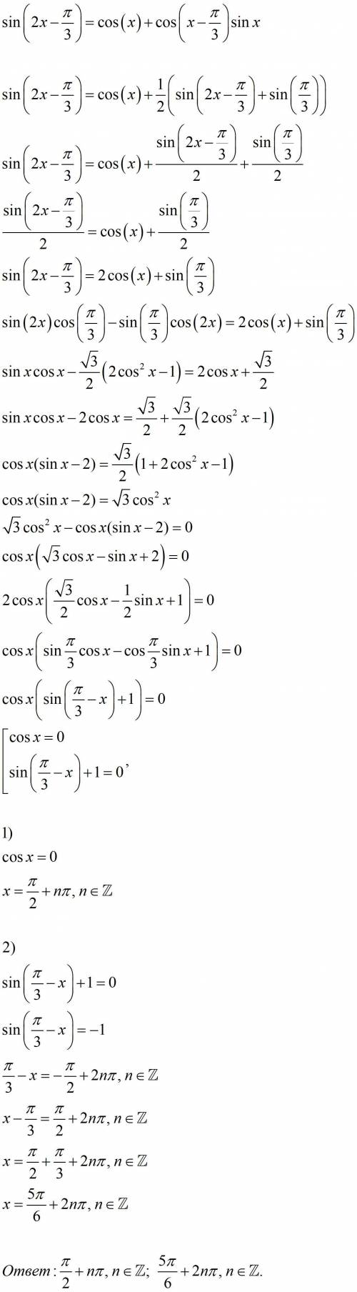
Sin(2х-п/3) = cosx + cos(x-п/3)sinx
как это решать?

👇
Ответ:
Pandi2
Pandi2
23.11.2022

(см. прикрепленный файл)


Sin(2х-п/3) = cosx + cos(x-п/3)sinx как это решать?
4,4(48 оценок)
Открыть все ответы
Ответ:
den4uk1402
den4uk1402
23.11.2022

Данная система — пример системы линейных неравенств с одним неизвестным. Решением системы неравенств с одним неизвестным называется то значение неизвестного, при котором все неравенства системы обращаются в верные числовые неравенства. Решить систему неравенств — это значит найти все решения этой системы или установить, что их нет. Неравенства \( x \geq -2 \) и \( x \leq 3 \) можно записать в виде двойного неравенства: \( -2 \leq x \leq 3 \). ... Решать линейные неравенства с одним неизвестным вы уже научились. Знаете, что такое система неравенств и решение системы. Поэтому процесс решения систем неравенств с одним неизвестным не вызовет у вас затруднений

Пошаговое объяснение:

4,4(1 оценок)
Ответ:
virakudleychuk
virakudleychuk
23.11.2022
24 : 2 = (20 + 4) : 2 = 20 : 2 + 4 : 2 = 10 + 2 = 12
60 : 5 = (50 + 10) : 5 = 50 : 5 + 10 : 5 = 10 + 2 = 12
72 : 6 = (60 + 12) : 6 = 60 : 6 + 12 : 6 = 10 + 2 = 12
42 : 3 = (30 + 12) : 3 = 30 : 3 + 12 : 3 = 10 + 4 = 14
136 : 3 = проверьте запись,по-моему, у вас ошибка. Может быть записано было
135 : 3 = (120 + 15) : 3 = 120 : 3 + 15 : 3 = 40 + 5 = 45
530 : 5 = (500 + 30) : 5 = 500 : 5 + 30 : 5 = 100 + 6 = 106
360 : 30 = (300 + 60) : 30 = 300 : 30 + 60 : 30 = 10 + 2 = 12
750 : 50 = (500 + 250) : 50 = 500 : 50 + 250 : 50 = 10 + 5 = 15
4,8(90 оценок)
Это интересно:
Новые ответы от MOGZ: Математика
logo
Вход Регистрация
Что ты хочешь узнать?
Спроси Mozg
Открыть лучший ответ