
ответ:Пусть скорость автобуса х км/ч, тогда скорость грузовика (х + 16) км/ч.
Найдем путь, проделанный транспортными средствами за 5 ч.
Для этого умножим их скорости на время в пути.
Автобус проехал 5х км.
Грузовик проехал 5 х (х + 16) км.
Складывая эти пути, мы получим расстояние между населенными пунктами 680 км.
Составим уравнение и решим его.
5х + 5 х (х + 16) = 680.
5х + 5х + 80 = 680.
10х = 680 - 80.
10х = 600.
х = 600 : 10.
х = 60 км/ч.
Получили скорость автобуса.
Теперь найдем скорость грузовика.
Для этого увеличим скорость автобуса на 16 км/ч.
60 + 16 = 76 км/ч.
ответ: Скорость автобуса 60 км/ч.
Скорость грузовика 76 км/ч.
Пошаговое объяснение:
ответ:Пусть скорость автобуса х км/ч, тогда скорость грузовика (х + 16) км/ч.
Найдем путь, проделанный транспортными средствами за 5 ч.
Для этого умножим их скорости на время в пути.
Автобус проехал 5х км.
Грузовик проехал 5 х (х + 16) км.
Складывая эти пути, мы получим расстояние между населенными пунктами 680 км.
Составим уравнение и решим его.
5х + 5 х (х + 16) = 680.
5х + 5х + 80 = 680.
10х = 680 - 80.
10х = 600.
х = 600 : 10.
х = 60 км/ч.
Получили скорость автобуса.
Теперь найдем скорость грузовика.
Для этого увеличим скорость автобуса на 16 км/ч.
60 + 16 = 76 км/ч.
ответ: Скорость автобуса 60 км/ч.
Скорость грузовика 76 км/ч.
Пошаговое объяснение:
-------------------------------------------------
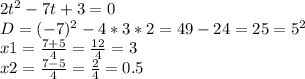
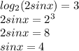
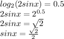
Пусть
= t :
Обратная замена :
------------------
----------------
ответ : 1