М
Молодежь
К
Компьютеры-и-электроника
Д
Дом-и-сад
С
Стиль-и-уход-за-собой
П
Праздники-и-традиции
Т
Транспорт
П
Путешествия
С
Семейная-жизнь
Ф
Философия-и-религия
Б
Без категории
М
Мир-работы
Х
Хобби-и-рукоделие
И
Искусство-и-развлечения
В
Взаимоотношения
З
Здоровье
К
Кулинария-и-гостеприимство
Ф
Финансы-и-бизнес
П
Питомцы-и-животные
О
Образование
О
Образование-и-коммуникации
frost09042004ozo97y
frost09042004ozo97y
06.03.2023 02:50 •  Математика

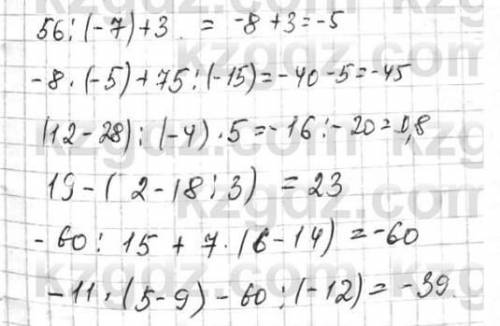
520. Выполните действия: 1) 56 :(-7) +3;
2) -8 :(-5) + 75 :(-15);
3) (12 - 28) :(-4) : 5;
4) 19 - (2 — 18:3);
5) - 60 : 15 +7 (6 – 14);

👇
Ответ:
nintendo161
nintendo161
06.03.2023

в г.д.з смотри на сайте математику там это есть просто найди свой учебник и номер пиши своего задания там все правельно


520. Выполните действия: 1) 56 :(-7) +3;2) -8 :(-5) + 75 :(-15);3) (12 - 28) :(-4) : 5;4) 19 - (2 —
4,8(21 оценок)
Открыть все ответы
Ответ:
оффЛис
оффЛис
06.03.2023
Если рядом сидят два химика, то правый скажет правду: НЕТ.
Если рядом сидят два алхимика, то правый соврет: НЕТ.
Таким, образом, ответ НЕТ возникает в том случае, если рядом сидят два одинаковых человека: два химика или два алхимика.
Допустим, у нас n химиков.
Тогда ряд из (n+1) рядом сидящих алхимиков дает n ответов НЕТ.
Ряд надо составлять из алхимиков, чтобы химиков получилось минимальное, а не максимальное количество.
Пусть все химики сидят через одного с алхимиками.
ХАА...АХАХА...ХА
Разобьем их на пары
(ХА)А...А(ХА)(ХА)...(ХА)
Здесь n А подряд и n пар ХА. Всего n + n А и n Х.
n + n + n = 160
3n = 160
Но 160 не делится на 3, поэтому такого не может быть.
Значит, есть хотя бы одна пара Х подряд.
(ХА)(ХХ)А...А(ХА)(ХА)...(ХА)
Здесь 2 химика, еще (n-2) пары ХА и ряд из n А.
Химиков по-прежнему n, а алхимиков n + (n-2)
n + n - 2 + n = 160
3n - 2 = 160.
3n = 162
n = 54
4,4(83 оценок)
Ответ:
BlankDawn
BlankDawn
06.03.2023
Международное положение Италии. Внешняя политика «правой» (1861 — 1876). Положение молодого Итальянского государства в Европе в первое время оставалось крайне слож­ным из-за франко-итальянских и австро-итальянских противоре­чий. Трудности международного признания Италии как единого государства усугублялись происками Ватикана, который апел­лировал к клерикальным и реакционным силам Европы, надеясь с их вернуть папе светскую власть.

В этих условиях, не располагая серьезными экономическими и военными ресурсами, встречаясь с трудностями внутреннего порядка, правительства «правой» были вынуждены проводить весьма осторожный внешнеполитический курс. Присоединение Венецианской области в результате войны с Австрией (1866) и Папской области в ходе франко-прусской войны (1870—1871 гг.) были последними крупными внешнеполитическими акциями «пра­вой» в Европе. После 1870 г. в основу ее внешнеполитического курса был положен лозунг «собирания сил» и «свободных рук», а главной целью дипломатических усилий было стремление обес­печить международное признание Италии европейскими держа­вами и предотвратить угрозу вооруженной интервенции со сто­роны клерикальных сил под предлогом возвращения папе свет­ской власти. Италия провозглашалась «фактором порядка, сво­боды и мира в Европе».

Несмотря на неустойчивость международных позиций коро­левства, правящие круги включились в борьбу за сферы влияния и колонии на африканском континенте. С правительст­ва компания Рубаттино основала на западном побережье Крас­ного моря колонию Ассаб, на основе которой в 1891 г. была соз­дана колония Эритрея
4,7(99 оценок)
Это интересно:
Новые ответы от MOGZ: Математика
logo
Вход Регистрация
Что ты хочешь узнать?
Спроси Mozg
Открыть лучший ответ