М
Молодежь
К
Компьютеры-и-электроника
Д
Дом-и-сад
С
Стиль-и-уход-за-собой
П
Праздники-и-традиции
Т
Транспорт
П
Путешествия
С
Семейная-жизнь
Ф
Философия-и-религия
Б
Без категории
М
Мир-работы
Х
Хобби-и-рукоделие
И
Искусство-и-развлечения
В
Взаимоотношения
З
Здоровье
К
Кулинария-и-гостеприимство
Ф
Финансы-и-бизнес
П
Питомцы-и-животные
О
Образование
О
Образование-и-коммуникации
nataliyantonov
nataliyantonov
29.12.2021 23:14 •  Математика

нужно решить В ближайший час!">

👇
Ответ:
LeviAccem
LeviAccem
29.12.2021

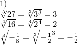
1) \\ \sqrt[3]{27} = \sqrt[3]{ {3}^{3} } = 3 \\ \sqrt[4]{16} = \sqrt[4]{ {2}^{4} } = 2 \\ \sqrt[3]{ - \frac{1}{8} } = \sqrt[3]{ - { \frac{1}{2} }^{3} } = - \frac{1}{2}

2) \\ \sqrt[3]{8} - \sqrt[4]{81} = \sqrt[3]{ {2}^{3} } - \sqrt[4]{ {3}^{4} } = 2 - 3 = - 1

\sqrt[3]{32 {a}^{6} {b}^{7} } = \sqrt[3]{ {2}^{3} \times {2}^{2} \times {( {a}^{2} )}^{3} \times {( {b}^{2} )}^{3} \times b} = 2 {a}^{2} {b}^{2} \sqrt[3]{4b}

\sqrt[3]{81} - {49}^{0.5} \times \sqrt[3]{24} = \sqrt[3]{ {3}^{3} \times 3} - \sqrt{ {7}^{2} } \times \sqrt[3]{ {2}^{3} \times 3} = 3 \sqrt[3]{3} - 7 \times 2 \sqrt[3]{3} = 3 \sqrt[3]{3} - 14 \sqrt[3]{3} = 11 \sqrt[3]{3}

\sqrt[3]{4 \sqrt{4 {m}^{6} } } = \sqrt[3]{4 \sqrt{ {2}^{2} {( {m}^{3} )}^{2} } } = \sqrt[3]{4 \times 2 \times {m}^{3} } = \sqrt[3]{ {2}^{3} {m}^{3} } = 2m

4,8(92 оценок)
Открыть все ответы
Ответ:
arioom
arioom
29.12.2021

x - 3h kolesnie velosipedi;

y - 2h kolesnie;

togda po usloviu mozhno sostavit' sistemu:

x+y=20;togda x=20-y;

3x+2y=55;ili 3(20-y)+2y=55;

60-3y+2y=55,togda y=5.

Otvet:5 2h kolesnih velosipedov.

Esli reshat' bez uravnenii:

1)dopustim vse velosipedi trehkolesnie,togda bi bilo 20*3=60 koles;

no ih 55,togda,2)esli uvelichivat' chislo dvuhkolesnih velosipedov na 1, budet umen'shatsia chislo trehkolesnih na 1,a chislo koles umenshitsia na 3-2=1.

3) no nam nado umenshit chislo koles s 60 do 55,znachit dvuhkolesnih velosipedov 60-55=5(no etot sposob reshenia bolshoi i ne ochen' udobnii dlia ponimania).

4,4(69 оценок)
Ответ:
MUSIC555
MUSIC555
29.12.2021
Пусть х - это 3-х колёсные велосипеды, а у - это двухколёсные велосипеды, а так как всего их имеется 20, то первое уравнение системы будет: х+у = 20 У всех 3-х колёсных велосипедов будет 3х колёс, а 2-х - 2у колёс, а всего колёс - 55 - это второе уравнение системы. При решении системы уравнений, мы первое уравнение умножим на (-2), а второе оставляем без изменения, получаем следующую систему уравнений 1) -2х - 2у = -40 2) 3х + 2у = 55, далее складываем между собой эти уравнения и получаем одно : х = 15 (шт) - 3-х колёсных велосипедов, следовательно 2-х колёсных 20 - 15 = 5 (шт).Иесли сделать проверку по колёсам, то получим 15 * 3 + 5 * 2 = 45 + 10 = 55 колёс, как было дано в условии, значит задача решена правильно!
4,5(95 оценок)
Новые ответы от MOGZ: Математика
logo
Вход Регистрация
Что ты хочешь узнать?
Спроси Mozg
Открыть лучший ответ