М
Молодежь
К
Компьютеры-и-электроника
Д
Дом-и-сад
С
Стиль-и-уход-за-собой
П
Праздники-и-традиции
Т
Транспорт
П
Путешествия
С
Семейная-жизнь
Ф
Философия-и-религия
Б
Без категории
М
Мир-работы
Х
Хобби-и-рукоделие
И
Искусство-и-развлечения
В
Взаимоотношения
З
Здоровье
К
Кулинария-и-гостеприимство
Ф
Финансы-и-бизнес
П
Питомцы-и-животные
О
Образование
О
Образование-и-коммуникации
illusionion
illusionion
15.11.2020 02:05 •  Математика

Заранеее огромное и за решение.


Заранеее огромное и за решение.

👇
Ответ:
gltomilovglebnopi
gltomilovglebnopi
15.11.2020

1)f'(x) = ln(5) \times {5}^{x} + 3 + \frac{7}{2} {x}^{6} - \frac{1}{x} \\

2)f'(x) = 2 {x}^{4} - \frac{5}{ ln(5) \times x} - \frac{2}{ { \cos}^{2}x } - \frac{ {x}^{2} }{2} - \frac{4}{ \sqrt{1 - {x}^{2} } } \\

3)y '= \frac{1}{5} {z}^{ - \frac{4}{5} } = \frac{1}{5 \sqrt[5]{ {z}^{4} } } \\

4)y' = \frac{1}{2} \times ( - \frac{2}{3} ) {x}^{ - \frac{5}{3} } = \\ = - \frac{1}{3x \sqrt[3]{ {x}^{2} } }

5)y' = - \sin(x) \times ( \frac{27}{x} {x}^{4} - x + 2) \times (27 {x}^{3} - 1) \times \cos(x) \\

6)y' = \frac{1}{2 \sqrt{x} } ( {x}^{2} + \sin(x)) + (2x + \cos(x) ) \times ( \sqrt{x} - 3) \\

7)y' = \frac{ {e}^{x} (3 {x}^{3} - 7) - 9 {x}^{2} {e}^{x} }{ {(3 {x}^{3} - 7) }^{2} } = \\ = \frac{ {e}^{x}(3 {x}^{3} - 9 {x}^{2} - 7)}{ {(3 {x}^{3} - 7)}^{2} }

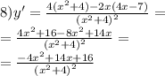
8)y' = \frac{4( {x}^{2} + 4) - 2x(4x - 7)}{ {( {x}^{2} + 4)}^{2} } = \\ = \frac{4 {x}^{2} + 16 - 8 {x}^{2} + 14x}{ {( {x}^{2} + 4)}^{2} } = \\ = \frac{ - 4 {x}^{2} + 14x + 16 }{ {( {x}^{2} + 4) }^{2} }

4,8(41 оценок)
Открыть все ответы
Ответ:
asya20045
asya20045
15.11.2020
Скульптура подразделяется накруглую, свободно размещающуюся в пространстве, и рельеф, в котором объемные изображения располагаются на плоскости.Скульптура может быть разделена на виды – станковую, монументальную, монументально-декоративную скульптуру, мелкую пластику. В скульптуре воспроизводится реальный мир, но основным объектом изображения является человек, через внешний облик которого передается его внутренний мир, характер, психологическое состояние, а также человеческое тело, передача движения (голова, бюст, торс, статуя, скульптурная группа). Изображения животного мира составляют анималистический жанр скульптуры.Большое значение имеют четкость и цельность силуэта. Фактурная обработка поверхности и детали дополняют выразительность пластического решения скульптурного образа. Материалами скульптуры являются камень (мрамор, известняк, песчаник, гранит и др.), дерево, кость, металл (бронза, медь, железо и др.), глина и обожженная глина (керамика – терракота, майолика, фаянс, фарфор и др.), гипс.Используются различные технические методы – лепка, высекание, резьба, литье, чеканка, ковка, сварка, применяются разнообразные материалы – камень, металл, дерево, глина, гипс, керамика, стекло, пластилин, воск, синтетические полимерные составы.
4,4(14 оценок)
Ответ:
TheFoxySmile
TheFoxySmile
15.11.2020
Скульптура подразделяется накруглую, свободно размещающуюся в пространстве, и рельеф, в котором объемные изображения располагаются на плоскости.Скульптура может быть разделена на виды – станковую, монументальную, монументально-декоративную скульптуру, мелкую пластику. В скульптуре воспроизводится реальный мир, но основным объектом изображения является человек, через внешний облик которого передается его внутренний мир, характер, психологическое состояние, а также человеческое тело, передача движения (голова, бюст, торс, статуя, скульптурная группа). Изображения животного мира составляют анималистический жанр скульптуры.Большое значение имеют четкость и цельность силуэта. Фактурная обработка поверхности и детали дополняют выразительность пластического решения скульптурного образа. Материалами скульптуры являются камень (мрамор, известняк, песчаник, гранит и др.), дерево, кость, металл (бронза, медь, железо и др.), глина и обожженная глина (керамика – терракота, майолика, фаянс, фарфор и др.), гипс.Используются различные технические методы – лепка, высекание, резьба, литье, чеканка, ковка, сварка, применяются разнообразные материалы – камень, металл, дерево, глина, гипс, керамика, стекло, пластилин, воск, синтетические полимерные составы.
4,6(95 оценок)
Новые ответы от MOGZ: Математика
logo
Вход Регистрация
Что ты хочешь узнать?
Спроси Mozg
Открыть лучший ответ