
Среднее арифметическое ряда чисел – это сумма данных чисел, поделенная на количество слагаемых.
а)(16+22+16+13+20+17)/6= 104/6=17,33
б)(-21+(-33)+(-35)+(-19)+(-20)+(-22))/6=-150/6=25
в)(61+64+64+83+61+71+70)/7=474/7=67,71
г) (-4+(-6)+0+4+0+6+8+(-12))/8=-4/8=-0,5
Размах ряда чисел – это разность между наибольшим и наименьшим из этих чисел.
а)16,22,16,13,20,17 ответ:22-13=9
б)-21,-33,-35,-19,-20,-22 ответ: -19-(-35)=-19+35=16
в)61,64,64,83,61,71,70 ответ: 83-61=22
г)-4,-6,0,4,0,6,8,-12 ответ: 8-(-12)=8+12=20
Мода ряда чисел – это число, которое встречается в данном ряду чаще других.
а)16,22,16,13,20,17 ответ: 16
б)-21,-33,-35,-19,-20,-22 ответ: нет моды
в)61,64,64,83,61,71,70 ответ:64
г)-4,-6,0,4,0,6,8,-12 ответ: 0
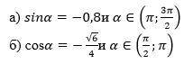
Косинус в III четверти отрицательный ⇒
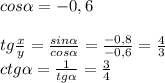
Синус во II четверти положителен ⇒