М
Молодежь
К
Компьютеры-и-электроника
Д
Дом-и-сад
С
Стиль-и-уход-за-собой
П
Праздники-и-традиции
Т
Транспорт
П
Путешествия
С
Семейная-жизнь
Ф
Философия-и-религия
Б
Без категории
М
Мир-работы
Х
Хобби-и-рукоделие
И
Искусство-и-развлечения
В
Взаимоотношения
З
Здоровье
К
Кулинария-и-гостеприимство
Ф
Финансы-и-бизнес
П
Питомцы-и-животные
О
Образование
О
Образование-и-коммуникации
arseniyrom20p08lxy
arseniyrom20p08lxy
27.07.2021 21:42 •  Математика

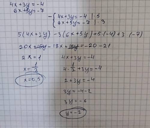
Решите систему уравнений

сложения:​


Решите систему уравнений сложения:​

👇
Ответ:
MATEMATIK12345678
MATEMATIK12345678
27.07.2021

ответ дан на фотографии


Решите систему уравнений сложения:​
4,5(80 оценок)
Открыть все ответы
Ответ:
Heda0101
Heda0101
27.07.2021
Смотри. Я могу ошибаться. Запутанное условие. я не совсем его понял. Но вот что могу написать:

Для второго дома не хватает 63 кирпича. Чтобы привезти на лодке Б, нужно сделать 3 рейса по 27 денежек ( 81 деньга всего). Но все равно не хватит 6 кирпичей.

Для первого дома не хватает 56 кирпичей. Чтобы привезти на лодке А, нужно сделать тоже 3 рейса по 25 денежек (75 д. всего). Останется 13 кирпичей.

Излишек в 13 кирпичей перевезем машиной ко второму дому. Это будет стоить 12 денег. Итого у нас вышло 81 + 75 + 12 = 168 денежек.

А вот второй сценарий: К первому дому привозим 2 лодки по 25 денег (всего - 50). Нам не будет хватать 10 кирпичей.

Ко второму дому привозим 4 лодки по 27 денег (всего 108). Остается 13 кирпичей. Их перевозим на машине к первому дому за 12 денег. Итого все расходы составят 50 + 108 + 12 = 170 денег.

Второй вариант затратнее на 2 деньги. Так что выбираем 1-й вариант.
4,4(55 оценок)
Ответ:
pav9
pav9
27.07.2021
А) 690:3*205-47150+850 = 850
Б) (238 145-237 776):41+327:3*7 = 772
В) 10000-120*80+(900-750:25)*7 = 6460

А) 690:3*205-47150+850=850
1) 690 : 3 = 230
2) 230 * 205 = 47150
3) 47150 - 47150 = 0
4) 0 + 850 = 850
ответ: 850

Б) (238 145-237 776):41+327:3*7 = 772
1) 238 145 - 237 776 = 369
2) 369 : 41 = 9
3) 327 : 3 = 109
4) 109 * 7 = 763
5) 763 + 9 = 772
ответ: 772

В) 10000-120*80+(900-750:25)*7 = 6460
1) 750 : 25 = 30
2) 900 - 30 = 870
3) 870 * 7 = 6090
4) 120 * 80 = 9600
5) 10000 - 9600 = 400
6) 6090 + 400= 6460
ответ: 6460
4,6(7 оценок)
Это интересно:
Новые ответы от MOGZ: Математика
logo
Вход Регистрация
Что ты хочешь узнать?
Спроси Mozg
Открыть лучший ответ