Вход
Регистрация
Спроси Mozg AI
М
Молодежь
К
Компьютеры-и-электроника
Д
Дом-и-сад
С
Стиль-и-уход-за-собой
П
Праздники-и-традиции
Т
Транспорт
П
Путешествия
С
Семейная-жизнь
Ф
Философия-и-религия
Б
Без категории
М
Мир-работы
Х
Хобби-и-рукоделие
И
Искусство-и-развлечения
В
Взаимоотношения
З
Здоровье
К
Кулинария-и-гостеприимство
Ф
Финансы-и-бизнес
П
Питомцы-и-животные
О
Образование
О
Образование-и-коммуникации
.....больше.....
..меньше..
timastic
19.08.2021 12:56 •
Математика
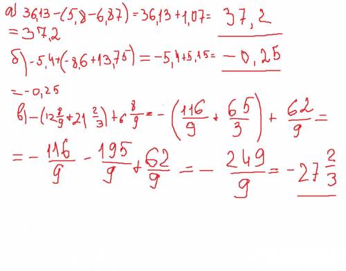
Раскройте скобки в выражении и найдите его значение: . а)36,13-(5,8-6,87)= б)-5,4+(-8,6+13,75)= 8/9+21 2/3)+6 8/9=
👇
Увидеть ответ
Ответ:
D13na
19.08.2021
смотри смотри смотри
4,4
(33 оценок)
Открыть все ответы
Ответ:
Danila5555
19.08.2021
1)120:2=60(м) половина ткани 2) 60:3=20(костюмов 3(м)) сшил 1 портной 3) 60:2=30(костюмов по (2м)) сшил 1 портной 4) 20+30=50(костюмов) сшил 1 портной 5) 120:4=30(м) четвертая часть ткани 6) 30:2=15(костюмов по 2(м)) 2 портной 7) 120-30=90(м) ткани осталось 8) 90:3=30(костюмов по 3(м) 2 портной 9) 15+30=45(костюмов) сшил 2 портной 10) 50-45=5(костюмов разница) ответ: 1 портной сшил на 5 костюма больше
4,4
(99 оценок)
Ответ:
Бегимотик002
19.08.2021
1)120:2=60(м) половина ткани 2) 60:3=20(костюмов 3(м)) сшил 1 портной 3) 60:2=30(костюмов по (2м)) сшил 1 портной 4) 20+30=50(костюмов) сшил 1 портной 5) 120:4=30(м) четвертая часть ткани 6) 30:2=15(костюмов по 2(м)) 2 портной 7) 120-30=90(м) ткани осталось 8) 90:3=30(костюмов по 3(м) 2 портной 9) 15+30=45(костюмов) сшил 2 портной 10) 50-45=5(костюмов разница) ответ: 1 портной сшил на 5 костюма больше
4,8
(65 оценок)
Это интересно:
К
Кулинария-и-гостеприимство
23.06.2020
Как заварить Кунг фу чай - лучший способ насладиться вкусом восточного чая...
К
Кулинария-и-гостеприимство
02.02.2020
Как сделать красивые и вкусные французские макароны с миндалем...
З
Здоровье
04.01.2023
Контроль гнева: как управлять своими эмоциями...
С
Семейная-жизнь
19.04.2021
Как помочь другу, потерявшему близкого человека: советы и рекомендации...
М
Мир-работы
01.04.2023
Как стать успешным командным игроком на работе: советы для успеха...
К
Кулинария-и-гостеприимство
16.05.2023
Как приготовить торт на именины собаки...
С
Стиль-и-уход-за-собой
16.07.2020
Пухлые щеки: прекрасный тренд или проблема?...
К
Компьютеры-и-электроника
01.06.2022
Как поднять свой боевой уровень в RuneScape: советы и рекомендации...
Ф
Финансы-и-бизнес
10.02.2022
Стартуем бизнес по схеме дропшиппинга: советы и рекомендации...
К
Кулинария-и-гостеприимство
20.03.2022
Секретный ингредиент коктейля «Арнольд Палмер» и его рецепт...
Новые ответы от MOGZ: Математика
Ybivashka11
02.11.2022
Теплоход проходит за 4 часа такое же расстояние , как моторная лодка за 9 ч.узнай среднюю скорость моторной лодки если известно что средняя скорость теплохода 36 км/ч....
ksenia1unicorn
02.11.2022
Ткань,цена которой которой 150 руб. за метр,уценена на 8%. какова новая цена ткани?...
2MaRiIa2
02.11.2022
Мама заготовила на зиму 12 л клубничного варенья, малинового варенья на 4 л меньше ,чем клубничного, а яблочного в 2 раза больше, чем клубничного и малинового вместе. сколько...
ALEX2000100
02.11.2022
Видстань миж двома мистами 280 км. из цих мист назустрич один одному виїхали два автобуси. за годину перший автобус приїхав 60км а другий . на якій відстані один від одного...
sharamat2001
02.11.2022
По норме маляр за 4 дня покрасил 48парт. за сколько дней он выполнил бы эту работу если бы в день красил на 2 парты больше чем по норме...
mmv2721ozx8sx
02.11.2022
60% от 40% числа у равны 8,4. найдите число у....
Артем222211
02.11.2022
Слова с непроверяемыми орфограммами,лексика...
aliyevasevgi5
02.11.2022
Выразите из формулы 12x=16 : y - 4 переменную e и найдите ее значение, если x=1...
flexELITE3
19.10.2020
Тыква весила 17 кг и содержала 99 % воды, когда она немного усохла, то стала содержать 98 % воды. сколько теперь весит тыква?...
IlachinaViktori
25.12.2020
Уфункции f(x,y)=x^2y- xy^2-10 xy+ x^2+ y^2-9 x+11 y четыре стационарные точки. найдите единственную точку экстремума и укажите значение функции в этой точке....
MOGZ ответил
Мало ли что можно делать на море делать на море...
Чем отличается человек умелый от человека разумного...
Даны числа 6,30,15,27 каждое из них: увеличьте в 3 раза, уменьшите в 3 раза,...
Составь 3 предложения со словом деревня...
Один фермер может полить поле 35 га за 5 часов а другой за 7 часов за какое...
Расстояние от солнца до земли равно 149 000 000 км. сколько времени идет...
Какого спряжение слова спешат летят плывут везут...
Вставьте подходящие по смыслу союзы а, и, но. расставь знаки препинания....
Прочитай число 18560025 что означаеткаждая из цифр 5 в разряде десятков...
Смалышами надо поиграть 5/6часа.сколько это минут. нужно записать решение,поиснение...
Полный доступ к MOGZ
Живи умнее Безлимитный доступ к MOGZ
Оформи подписку
О НАС
О нас
Блог
Условия пользования
Авторское право
Политика конфиденциальности
Предпочтения cookie-файлов
ПОМОЩЬ
Зарегистрируйся
Центр помощи
Центр безопасности
App
Вход
Регистрация
Что ты хочешь узнать?
Спроси Mozg
Открыть лучший ответ
смотри смотри смотри