М
Молодежь
К
Компьютеры-и-электроника
Д
Дом-и-сад
С
Стиль-и-уход-за-собой
П
Праздники-и-традиции
Т
Транспорт
П
Путешествия
С
Семейная-жизнь
Ф
Философия-и-религия
Б
Без категории
М
Мир-работы
Х
Хобби-и-рукоделие
И
Искусство-и-развлечения
В
Взаимоотношения
З
Здоровье
К
Кулинария-и-гостеприимство
Ф
Финансы-и-бизнес
П
Питомцы-и-животные
О
Образование
О
Образование-и-коммуникации
Luiza3030499
Luiza3030499
24.01.2023 18:25 •  Математика

Составте уравнение прямой, проходящей через точки к (-3, 3) и l (-7,1). ответ записать в виде уравнения прямой с угловым коэффициентом.

👇
Ответ:
maistrenko1
maistrenko1
24.01.2023
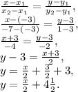
\frac{x-x_1}{x_2-x_1} = \frac{y-y_1}{y_2-y_1} , \\
 \frac{x-(-3)}{-7-(-3)} = \frac{y-3}{1-3} , \\
 \frac{x+3}{-4} = \frac{y-3}{-2} , \\
y-3 = \frac{x+3}{2}, \\
y = \frac{x}{2}+ \frac{3}{2} +3, \\
y = \frac{x}{2}+ 4\frac{1}{2} . \\
4,7(73 оценок)
Открыть все ответы
Ответ:
Levkoi
Levkoi
24.01.2023

Позвоночные

Позвоночные имеют хорошо развитую голову и мозг, который защищен черепом, а также парные органы чувств. У них высокоэффективная дыхательная система, мышечная глотка с прорезями и жабры (у наземных позвоночных прорези и жабры сильно модифицированы), мышцы кишечника и камерное сердце. Еще одной заметной характеристикой позвоночных является эндоскелет. Эндоскелет — внутренний каркас хорды, костей или хрящей, который обеспечивает животному структурную поддержку. Эндоскелет растет вместе с животным и обеспечивает крепкий каркас, к которому крепятся мышцы. Позвоночник у позвоночных является главной определяющей характеристикой этого типа животных. У большинства позвоночных, хорда присутствует в начале их развития. Хорда представляет собой гибкий поддерживающий стержень, который проходит вдоль длины тела. По мере развития животного, хорда заменяется серией позвонков, которые формируют позвоночный столб. Базально-позвоночные, такие как хрящевые и лучеперые рыбы для дыхания используют жабры. Амфибии имеют внешние жабры в личиночной стадии своего развития и легкие у взрослых особей. Высшие позвоночные, такие как рептилии, птицы и млекопитающие имеют вместо жабр легкие.

Беспозвоночные

Беспозвоночные (Invertebrata) — группа животных, которые не имеют позвоночник и костный скелет. На сегодняшний день открыто около одного миллиона видов беспозвоночных, но это лишь малая часть от общего числа видов, которые населяют нашу планету. По предположениям ученых, существует около 30 миллионов видов беспозвоночных, хотя, по всей вероятности, мы никогда не будем знать точное количество видов беспозвоночных, с которыми мы разделяем эту планету. Помимо бесчисленного количества видов, не может удивлять тот факт, что более 97 процентов всех видов животных живущих сегодня, являются беспозвоночными. Люди и все другие млекопитающие, птицы, пресмыкающиеся, земноводные и рыбы относятся к группе позвоночных. Есть более тридцати групп беспозвоночных. Наиболее известными группами являются членистоногие, иглокожие, кишечнополостные, моллюски, кольчатые черви и губки. К менее известным группам беспозвоночных относятся гребневики, плоские черви, нематоды, коловратки, плеченогие и мшанки. Разнообразие беспозвоночных может создавать сложности для тех, кто пытается понять эту группу животных. Но, глядя на вариации этой группы, ученые смогли охарактеризовать и классифицировать беспозвоночных в более приемлемые подгруппы. Беспозвоночные были объединены в различные подгруппы на основе простых, наблюдаемых характеристик. Членистоногие, например, известны за то, что имеют сегментированные тела и членистые придатки. Иглокожие известны своей вторично-приобретенной радиальной симметрией тела. Стрекающие имеют гастроваскулярную полость с отверстием, которое окружено щупальцами. Беспозвоночные настолько разнообразны, что подобрать общие характеристики для всех видов невозможно. Одна черта, которая объединяет всех беспозвоночных — это отсутствие позвоночника. Поэтому гораздо эффективней изучать характеристики основных групп беспозвоночных таких, как членистоногие, кишечнополостные, иглокожие, моллюски и т.д. На таком уровне классификации, легче говорить об общих при анатомии и эволюционной истории, чем для всей группы беспозвоночных.

4,4(27 оценок)
Ответ:
petrov100469
petrov100469
24.01.2023

Позвоночные

Позвоночные имеют хорошо развитую голову и мозг, который защищен черепом, а также парные органы чувств. У них высокоэффективная дыхательная система, мышечная глотка с прорезями и жабры (у наземных позвоночных прорези и жабры сильно модифицированы), мышцы кишечника и камерное сердце. Еще одной заметной характеристикой позвоночных является эндоскелет. Эндоскелет — внутренний каркас хорды, костей или хрящей, который обеспечивает животному структурную поддержку. Эндоскелет растет вместе с животным и обеспечивает крепкий каркас, к которому крепятся мышцы. Позвоночник у позвоночных является главной определяющей характеристикой этого типа животных. У большинства позвоночных, хорда присутствует в начале их развития. Хорда представляет собой гибкий поддерживающий стержень, который проходит вдоль длины тела. По мере развития животного, хорда заменяется серией позвонков, которые формируют позвоночный столб. Базально-позвоночные, такие как хрящевые и лучеперые рыбы для дыхания используют жабры. Амфибии имеют внешние жабры в личиночной стадии своего развития и легкие у взрослых особей. Высшие позвоночные, такие как рептилии, птицы и млекопитающие имеют вместо жабр легкие.

Беспозвоночные

Беспозвоночные (Invertebrata) — группа животных, которые не имеют позвоночник и костный скелет. На сегодняшний день открыто около одного миллиона видов беспозвоночных, но это лишь малая часть от общего числа видов, которые населяют нашу планету. По предположениям ученых, существует около 30 миллионов видов беспозвоночных, хотя, по всей вероятности, мы никогда не будем знать точное количество видов беспозвоночных, с которыми мы разделяем эту планету. Помимо бесчисленного количества видов, не может удивлять тот факт, что более 97 процентов всех видов животных живущих сегодня, являются беспозвоночными. Люди и все другие млекопитающие, птицы, пресмыкающиеся, земноводные и рыбы относятся к группе позвоночных. Есть более тридцати групп беспозвоночных. Наиболее известными группами являются членистоногие, иглокожие, кишечнополостные, моллюски, кольчатые черви и губки. К менее известным группам беспозвоночных относятся гребневики, плоские черви, нематоды, коловратки, плеченогие и мшанки. Разнообразие беспозвоночных может создавать сложности для тех, кто пытается понять эту группу животных. Но, глядя на вариации этой группы, ученые смогли охарактеризовать и классифицировать беспозвоночных в более приемлемые подгруппы. Беспозвоночные были объединены в различные подгруппы на основе простых, наблюдаемых характеристик. Членистоногие, например, известны за то, что имеют сегментированные тела и членистые придатки. Иглокожие известны своей вторично-приобретенной радиальной симметрией тела. Стрекающие имеют гастроваскулярную полость с отверстием, которое окружено щупальцами. Беспозвоночные настолько разнообразны, что подобрать общие характеристики для всех видов невозможно. Одна черта, которая объединяет всех беспозвоночных — это отсутствие позвоночника. Поэтому гораздо эффективней изучать характеристики основных групп беспозвоночных таких, как членистоногие, кишечнополостные, иглокожие, моллюски и т.д. На таком уровне классификации, легче говорить об общих при анатомии и эволюционной истории, чем для всей группы беспозвоночных.

4,7(87 оценок)
Новые ответы от MOGZ: Математика
logo
Вход Регистрация
Что ты хочешь узнать?
Спроси Mozg
Открыть лучший ответ