М
Молодежь
К
Компьютеры-и-электроника
Д
Дом-и-сад
С
Стиль-и-уход-за-собой
П
Праздники-и-традиции
Т
Транспорт
П
Путешествия
С
Семейная-жизнь
Ф
Философия-и-религия
Б
Без категории
М
Мир-работы
Х
Хобби-и-рукоделие
И
Искусство-и-развлечения
В
Взаимоотношения
З
Здоровье
К
Кулинария-и-гостеприимство
Ф
Финансы-и-бизнес
П
Питомцы-и-животные
О
Образование
О
Образование-и-коммуникации
obshaga2311
obshaga2311
03.10.2020 18:43 •  Математика

Зубр и лось весят вместе 1300килограмм.1/6 лося равна 1/7 кг зубца сколько весит лось?

👇
Ответ:
2017minikot
2017minikot
03.10.2020
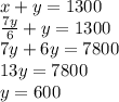
Пусть зубр весит х, а лось весит у. Тогда
\frac{y}{6}=\frac{x}{7}\\7y=6x\\x=\frac{7}{6}y

Складываем значения:
x+y=1300\\\frac{7y}{6}+y=1300\\7y+6y=7800\\13y=7800\\y=600

ответ: 600 кг.
4,6(99 оценок)
Ответ:
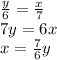
Х-вес лося, у-вес зубра, х+у=1300
х/6=у/7 => x=6y/7
6у/7 +у=1300 |*7
6y+7y=9100
13y=9100
y=700(кг)-вес зубра
х=700*6/7=600(кг)-вес лося
ответ: Лось весит 600 кг
4,8(90 оценок)
Открыть все ответы
Ответ:
Kotvo4cah
Kotvo4cah
03.10.2020
Пусть х - количество деталей. которое за час изготавливает второй рабочий.
Тогда х+4 - количество за час изготавливает первый рабочий.
Уравнение:
5(х+4) = 7х
5х + 20 = 7х
7х - 5х = 20
2х = 10
х = 10:2
х = 10 деталей в час изготавливал второй рабочий.


Примем за 1 количество деталей, которое за 5 часов заготавливает первый рабочий, или за 7 часов изготавливает за 7 часов
1) 1:5=1/5 - производительность первого рабочего.
2) 1:7=1/7 - производительность второго рабочего.
3) 1/5 - 1/7 = 7/35 - 5/35 = 2/35 разница в производительности второго и первого рабочих.
4) Пропорция:
2/35 - 4 детали.
1/7 - х
х = 4•1/7 : 2/35 = 4•1•35/(7•2) = 2•5 = 10 деталей за час делал второй рабочий.

ответ: 10 деталей.
4,7(23 оценок)
Ответ:
LyVlAr
LyVlAr
03.10.2020
Какие числа 1-ая тройка: 7,26,1827 * х = 182          182 : х = 7          182 : х = 26       26*х = 182 
7х = 182              х = 182 : 7          х = 182 : 26        26х = 182
х = 26                   х = 26                  х = 7                       х = 7

2-ая тройка: 149, 343, 492
х + 149 = 492        х + 343 = 492        492-х =343      х = 149+343
х = 492 - 149         х = 492 - 343         х =492-343      х = 492
х = 343                   х = 149                    х = 149

3-ья тройка: 64,8,512
64*х = 512        512 : х = 8      8х = 512        х : 64 = 8
64х = 512          х= 512 : 8        х = 64           х = 8 *64
х = 8                    х= 64                                     х = 512
 
4,6(74 оценок)
Это интересно:
Новые ответы от MOGZ: Математика
logo
Вход Регистрация
Что ты хочешь узнать?
Спроси Mozg
Открыть лучший ответ