М
Молодежь
К
Компьютеры-и-электроника
Д
Дом-и-сад
С
Стиль-и-уход-за-собой
П
Праздники-и-традиции
Т
Транспорт
П
Путешествия
С
Семейная-жизнь
Ф
Философия-и-религия
Б
Без категории
М
Мир-работы
Х
Хобби-и-рукоделие
И
Искусство-и-развлечения
В
Взаимоотношения
З
Здоровье
К
Кулинария-и-гостеприимство
Ф
Финансы-и-бизнес
П
Питомцы-и-животные
О
Образование
О
Образование-и-коммуникации
fhdjfjfuf
fhdjfjfuf
30.05.2022 15:27 •  Математика

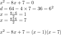
Разложите на множители с дискриминанта .x в степени 2 -8x+7 " x2-8x+7 " ​

👇
Ответ:
adile1991
adile1991
30.05.2022

 {x}^{2} - 8x + 7 = 0 \\ d = 64 - 4 \times 7 = 36 = {6 }^{2} \\ x = \frac{8 - 6}{2} = 1 \\ x = \frac{8 + 6}{2} = 7 \\ \\ {x }^{2} - 8x + 7 = (x - 1)(x - 7)

4,7(91 оценок)
Открыть все ответы
Ответ:
daniilkrkrahmal
daniilkrkrahmal
30.05.2022
Решение:
Обозначим за (х) -скорость движения реки в стоячей воде, а скорость реки
за( у), тогда
скорость корабля по течению реки равна: (х+у)
а скорость корабля против течения реки равна: (х-у)
Согласно условия задачи составим систему уравнений:
  24 /(х+у) = 2
  24(х-у)=3
24=2*(х+у)
24=3*(х-у)
24=2х+2у
24=3х-3у
Из первого уравнения найдём х, но прежде первое уравнение, его левую и правую часть сократим на 2:
12=х+у
х=12-у
Подставим данное х во второе уравнение:
24=3*(12-у)-3у
24=36-3у-3у
-6у=24-36
-6у=-12
у=-12: -6=2 (км/час-скорость реки)
х=12-2=10-(км/час -скорость корабля в стоячей воде

ответ: Скорость корабля в стоячей воде 10км/час; скорость реки-2км/час
4,5(68 оценок)
Ответ:
lena101992
lena101992
30.05.2022
                                              Задача 1.
ведро - х                                                               ведро - х 
бочка - 10х                                                            бочка - х+45 
                                    10х=х+45
                                     9х = 45 
                                       х=5л.
ведро - 5л                                                                             ведро - 5л
бочка - 10×5=50л                                                                  бочка - 5+45 = 50 л 
                                               Задача 2.
а×3+4=103000÷4
а×3+4=25750
а×3=25750-4
а×3=25746
а=25746÷3
а=8582
ответ:задуманое число 8582
4,6(66 оценок)
Это интересно:
Новые ответы от MOGZ: Математика
logo
Вход Регистрация
Что ты хочешь узнать?
Спроси Mozg
Открыть лучший ответ