М
Молодежь
К
Компьютеры-и-электроника
Д
Дом-и-сад
С
Стиль-и-уход-за-собой
П
Праздники-и-традиции
Т
Транспорт
П
Путешествия
С
Семейная-жизнь
Ф
Философия-и-религия
Б
Без категории
М
Мир-работы
Х
Хобби-и-рукоделие
И
Искусство-и-развлечения
В
Взаимоотношения
З
Здоровье
К
Кулинария-и-гостеприимство
Ф
Финансы-и-бизнес
П
Питомцы-и-животные
О
Образование
О
Образование-и-коммуникации
tomasmraz
tomasmraz
16.12.2020 08:50 •  Математика

Решите систему уравнений: 3х+у=13; 4х-у=15

👇
Ответ:
polinabaysha
polinabaysha
16.12.2020
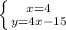
\left \{ {{3x+y=13} \atop {4x-y=15}} \right.

Решаем методом алгебраического сложения:

\left \{ {{7x=28} \atop {4x-y=15}} \right.

\left \{ {{x=4} \atop {y=4x-15}} \right.

\left \{ {{x=4} \atop {y=4*4-15}} \right.

\left \{ {{x=4} \atop {y=1}} \right.

ответ: (4;1)
4,4(40 оценок)
Открыть все ответы
Ответ:
msajkina
msajkina
16.12.2020

Мир, в котором мы живём, полон опасностей. История человечества - это история борьбы с разного рода опасностями, бедствиями, которые угрожают человеку во всех сферах деятельности, поэтому человеческая цивилизация вынуждена постоянно решать проблемы безопасности.

Безопасность жизнедеятельности может быть обеспечена только при комфортном (с оптимальными условиями) или допустимом (гарантирующим невозможность возникновения и развития негативных процессов у человека и в среде обитания) состояниях взаимодействия человека со средой.

Управление безопасностью жизнедеятельности в Российской Федерации строится на действии многоуровневой системы законодательных и нормативно-правовых актов, а также директивной документации организаций.

В структуре управления безопасностью жизнедеятельности равноправное место занимает система профилактики и ликвидации последствий чрезвычайных ситуаций, головным органом управления которой является Министерство по чрезвычайным ситуациям (МЧС).

Под чрезвычайной ситуацией (ЧС) понимается такое состояние объекта, определенной территории или акватории, при котором в результате возникновения источника чрезвычайной ситуации нарушаются нормальные условия жизни и деятельности людей, возникает угроза их жизни или здоровья, наносится ущерб имуществу населения, экономике и окружающей природной среде.

Под источником чрезвычайной ситуации понимают опасное природное явление, аварию или опасное техногенное происшествие, крупномасштабное инфекционное заболевание людей, животных или растений, а также применение современных средств массового поражения, в результате которого произошла или может возникнуть чрезвычайная ситуация.

Классификация ЧС (см. табл.1) учитывает количество людей, пострадавших в этих ситуациях, или людей, у которых оказались нарушены условия жизнедеятельности, размеры материального ущерба, а также границы зон распространения чрезвычайных ситуаций.

Причинами возникновения чрезвычайных ситуаций могут быть:

аварии - чрезвычайные события с техногенными причинами;

стихийные бедствия - чрезвычайные события природного происхождения;

катастрофы - аварии и стихийные бедствия, повлекшие за собой многочисленные человеческие жертвы, значительный материальный ущерб или другие тяжелые последствия.

Концепция гражданской защиты населения предусматривает: защиту населения и территорий, гражданскую оборону. Защита населения, объектов народного хозяйства и окружающей среды (гражданская защита) от действия чрезвычайных ситуаций любого происхождения, а также постоянная готовность к ликвидации их последствий достигается:

уменьшением возможных масштабов источников аварий, катастроф и стихийных бедствий;

локализацией и сокращением времени действия существующих поражающих факторов;

снижением опасности поражения людей путем установления требований к размещению опасных объектов, планированию населенных пунктов, строительству устойчивых зданий и сооружений;

повышением устойчивости функциональных объектов экономики и жизнеобеспечения;

проведением аварийно и других неотложных работ;

ликвидацией последствий ЧС и реабилитацией населения, территорий и окружающей среды.

В свою очередь гражданская оборона (Федеральный закон «О гражданской обороне» от 12 февраля 1998 года, № 28-ФЗ) - это система мероприятий по подготовке к защите и по защите населения, материальных и культурных ценностей на территории

4,4(53 оценок)
Ответ:
срочно119
срочно119
16.12.2020

Лю́двиг ван Бетхо́вен ; крещён 17 декабря 1770, Бонн, Вестфалия — 26 марта 1827, Вена, Эрцгерцогство Австрия) — немецкий композитор, дирижёр и пианист, один из трёх «венских классиков».

Бетховен — ключевая фигура западной классической музыки в период между классицизмом и романтизмом, один из наиболее уважаемых и исполняемых композиторов в мире. Он писал во всех существовавших в его время жанрах, включая оперу, балет, музыку к драматическим спектаклям, хоровые сочинения. Самым значительным в его наследии считаются инструментальные произведения: фортепианные, скрипичные и виолончельные сонаты, концерты для фортепиано, для скрипки, квартеты, увертюры, симфонии. Творчество Бетховена оказало значительное воздействие на симфонизм 19 и 20 века.

4,8(77 оценок)
Это интересно:
Новые ответы от MOGZ: Математика
logo
Вход Регистрация
Что ты хочешь узнать?
Спроси Mozg
Открыть лучший ответ