


решение на фотографиях

ответ:Используем доказательство от противного. Предположим, что в треугольнике ABC (∠A - тупой) основание высоты ВН лежит на стороне АС. Тогда в прямоугольном ΔAHB есть тупой угол (а это невозможно). Значит, основание высоты ВН лежит на продолжении стороны АС.
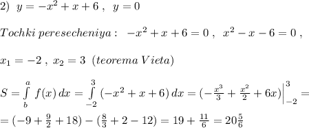
Теперь допустим, что в том же треугольнике основание высоты АН лежит на продолжении стороны ВС, к примеру, за точкой С. ∠С - острый, угол смежный с ним - тупой. Тогда в прямоугольном треугольнике СНА есть тупой угол. Это невозможно, поэтому точка H лежит на стороне ВС.
Пошаговое объяснение:
ответ:1) 3 \frac{2}{5}- \frac{3}{5}+1 \frac{4}{5}=4 \frac{6}{5}- \frac{3}{5}=4 \frac{3}{5}
Гений
2) 8 \frac{7}{9}-3 \frac{4}{9}+5 \frac{8}{9}=5 \frac{3}{9}+5 \frac{8}{9}=10 \frac{11}{9}=11 \frac{2}{9}
состоит
3) 25 \frac{13}{40}-(24 \frac{13}{40}+ \frac{19}{40})= 25 \frac{13}{40}-24 \frac{13}{40}- \frac{19}{40}=1- \frac{19}{40}= \frac{40-19}{40}= \frac{21}{40}
ИЗ
4) (24\frac{9}{11}+8 \frac{7}{11})-24 \frac{9}{11}= 24\frac{9}{11}-24 \frac{9}{11}+8 \frac{7}{11}=8 \frac{7}{11}
1%
5) (4 \frac{17}{30}+52 \frac{29}{30}) -50 \frac{29}{30}= 4 \frac{17}{30}+(52 \frac{29}{30}) -50 \frac{29}{30})= 4 \frac{17}{30}+2=6 \frac{17}{30}
ВДОХНОВЕНИЯ
6)(4-1 \frac{2}{7})-( \frac{6}{7}+1 \frac{1}{7})=4-1 \frac{2}{7}- 1\frac{7}{7}=4-1 \frac{2}{7}- 2=2-1 \frac{2}{7}= \frac{5}{7}
И
7) (12 \frac{1}{8}-4 \frac{5}{8}+0)-6 \frac{7}{8}=7 \frac{4}{8}-6 \frac{7}{8} = \frac{12-7}{8}= \frac{5}{8}
99%
8) (1 \frac{3}{17}+5 \frac{16}{17})+ (1 \frac{1}{17}+2 \frac{14}{17})-5 \frac{12}{17}= (1 \frac{3}{17}+2 \frac{14}{17})+(1 \frac{1}{17}+5 \frac{16}{17})-5 \frac{12}{17} \\ \\ =4+7-5 \frac{12}{17}=5 \frac{5}{17}
Потения
ГЕНИЙ СОСТОИТ ИЗ 1% ВДОХНОВЕНИЯ И 99% ПОТЕНИЯ
Пошаговое объяснение: