М
Молодежь
К
Компьютеры-и-электроника
Д
Дом-и-сад
С
Стиль-и-уход-за-собой
П
Праздники-и-традиции
Т
Транспорт
П
Путешествия
С
Семейная-жизнь
Ф
Философия-и-религия
Б
Без категории
М
Мир-работы
Х
Хобби-и-рукоделие
И
Искусство-и-развлечения
В
Взаимоотношения
З
Здоровье
К
Кулинария-и-гостеприимство
Ф
Финансы-и-бизнес
П
Питомцы-и-животные
О
Образование
О
Образование-и-коммуникации
Вера77777
Вера77777
05.09.2021 20:58 •  Математика

Через 5 лет возраст брата будет относиться к возрасту сестры, как 7 : 5. сколько лет брату в настоящее время, если год назад брат был вдвое старше сестры?

👇
Ответ:
grenki476
grenki476
05.09.2021
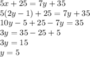
Если сейчас возраст брата равен х, а возраст сестры у, то
через 5 лет возраст брата будет относиться к возрасту сестры, как 7 : 5 запишем в виде равенства:
\frac{x+5}{y+5} = \frac{7}{5} или 5(x+5)=7(y+5)

год назад брат был вдвое старше сестры
запишем в виде равенства:
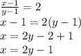
\frac{x-1}{y-1}=2 \\ x-1=2(y-1) \\ x=2y-2+1 \\ x=2y-1
подставим в первое:
5x+25=7y+35 \\5(2y-1)+25=7y+35 \\
10y-5+25-7y=35 \\
3y=35-25+5 \\ 3y=15 \\ y=5
Сестре сейчас 5 лет. Тогда брату:
x=2y-1=2*5-1=9
Брату - 9 лет
4,8(100 оценок)
Открыть все ответы
Ответ:
ivantitov2002
ivantitov2002
05.09.2021
Раз надо цены узнать - обозначим их Х и У
причем цена помидоров будет зимой Х, а летом 2х/3
то есть первая покупка - зимой была такой
2х+3у = 270

А вторая, летом
(3*2х/3+2у) = 230
заметьте, что денег за помидоры заплатили одинаково и зимой и летом! Ведь:
 3*2х/3 = 2х
то есть летняя покупка выглядит так: 
2х+2у = 230

значит, разница в цене  обеспечивается Апельсинами, а их куплено летом  на 1 кг меньше
то есть один  килограмм апельсинов равен у = 270-230 = 40
значит помидоры стоили зимой:
2х+3*40 = 270
2х = 270-120
х = 150/2
х = 75руб.зимой
75*2/3 = 50руб. летом  ответ:75 руб:40руб
4,6(80 оценок)
Ответ:
WESTBEST
WESTBEST
05.09.2021
Раз надо цены узнать - обозначим их Х и У
причем цена помидоров будет зимой Х, а летом 2х/3
то есть первая покупка - зимой была такой
2х+3у = 270

А вторая, летом
(3*2х/3+2у) = 230
заметьте, что денег за помидоры заплатили одинаково и зимой и летом! Ведь:
 3*2х/3 = 2х
то есть летняя покупка выглядит так: 
2х+2у = 230

значит, разница в цене  обеспечивается Апельсинами, а их куплено летом  на 1 кг меньше
то есть один  килограмм апельсинов равен у = 270-230 = 40
значит помидоры стоили зимой:
2х+3*40 = 270
2х = 270-120
х = 150/2
х = 75руб.зимой
75*2/3 = 50руб. летом  ответ:75 руб:40руб
4,4(92 оценок)
Это интересно:
Новые ответы от MOGZ: Математика
logo
Вход Регистрация
Что ты хочешь узнать?
Спроси Mozg
Открыть лучший ответ