М
Молодежь
К
Компьютеры-и-электроника
Д
Дом-и-сад
С
Стиль-и-уход-за-собой
П
Праздники-и-традиции
Т
Транспорт
П
Путешествия
С
Семейная-жизнь
Ф
Философия-и-религия
Б
Без категории
М
Мир-работы
Х
Хобби-и-рукоделие
И
Искусство-и-развлечения
В
Взаимоотношения
З
Здоровье
К
Кулинария-и-гостеприимство
Ф
Финансы-и-бизнес
П
Питомцы-и-животные
О
Образование
О
Образование-и-коммуникации
Vitas40
Vitas40
18.12.2021 02:53 •  Математика

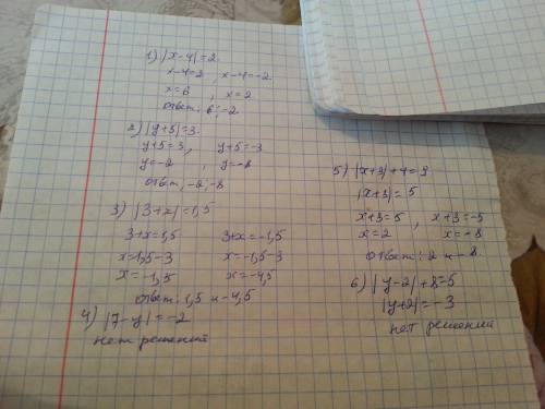
Решение уравнение 1) |x-4|=2 2)|y+5|=3 3)|3+x|=1,5 4)|7-y|=-2 5)|x+3|+4=9 6)y-2|+8=5

👇
Ответ:
анар53
анар53
18.12.2021
Решение уравнение 1) |x-4|=2 2)|y+5|=3 3)|3+x|=1,5 4)|7-y|=-2 5)|x+3|+4=9 6)y-2|+8=5
4,5(8 оценок)
Ответ:
elviraloveelvi
elviraloveelvi
18.12.2021
1) x – 4 = ±2 ⇔ x = 2 или x = 6.
2) y + 5 = ±3 ⇔ y = –2 или y = –8.
3) 3 + x = ±1.5 ⇔ x = –1.5 или x = –4.5.
4) Не имеет решений, так как левая часть заведомо неотрицательна.
5) x + 3 = ±5 ⇔ x = –8 или x = 2.
6) |y – 2| = –3 — аналогично 4): не имеет решений.
4,6(63 оценок)
Открыть все ответы
Ответ:
andreymikilov
andreymikilov
18.12.2021
Семейство Aniliidae — Вальковатые змеи  Семейство Bolyeriidae — Болиериды  Семейство Tropidophiidae — Земляные удавы  Надсемейство Acrochordoidea  Семейство Acrochordidae — Бородавчатые змеи  Надсемейство Uropeltoidea  Семейство Anomochilidae  Семейство Cylindrophiidae — Цилиндрические змеи  Семейство Uropeltidae — Щитохвостые змеи  Надсемейство Pythonoidea  Семейство Loxocemidae — Мексиканские земляные питоны  Семейство Pythonidae  Семейство Xenopeltidae — Лучистые змеи  Надсемейство Booidea  Семейство Boidae — Ложноногие змеи  Надсемейство Colubroidea  Семейство Colubridae — Ужеобразные  Семейство Lamprophiidae  Семейство Elapidae — Аспидовые  Семейство Homalopsidae  Семейство Pareatidae  Семейство Viperidae — Гадюковые  Семейство Xenodermatidae  Надсемейство Typhlopoidea (Scolecophidia)  Семейство Anomalepididae — Американские червеобразные змеи  Семейство Gerrhopilidae  Семейство Typhlopidae — Слепозмейки  Семейство Leptotyphlopidae — Узкоротые змеи  Семейство Xenotyphlopidae
4,4(70 оценок)
Ответ:
Alсу1
Alсу1
18.12.2021
(5-x)(x-7)²>0
Произведение больше 0 если оба множителя больше 0 или оба множителя меньше 0, поэтому надо решить уравнения:
5-x=0
(x-7)²=0

5-x=0             (x-7)²=0
-x=-5              x-7=0
x=5                 x=7

Далее отмечаем корни на числовой прямой и находим интервалы на которых произведение (5-х)(х-7)² больше 0
              +                                -                                 -
(5)(7)
Возьмём 4:
(5-4)(4-7)²=1*(-3)²=9, значит на интервале (-∞;5) произведение >0, ставим +.
Далее возьмём 6:
(5-6)(6-7)²=(-1)(-1)²=-1, значит на интервале (5;7) произведение <0, ставим -.
Теперь возьмём 8:
(5-8)(8-7)²=(-3)(1)²=-3, значит на интервале (7;∞) произведение <0, ставим -.
Получается что произведение больше 0 только на интервале (-∞;5) это и есть ответ.
4,7(50 оценок)
Это интересно:
Новые ответы от MOGZ: Математика
logo
Вход Регистрация
Что ты хочешь узнать?
Спроси Mozg
Открыть лучший ответ