М
Молодежь
К
Компьютеры-и-электроника
Д
Дом-и-сад
С
Стиль-и-уход-за-собой
П
Праздники-и-традиции
Т
Транспорт
П
Путешествия
С
Семейная-жизнь
Ф
Философия-и-религия
Б
Без категории
М
Мир-работы
Х
Хобби-и-рукоделие
И
Искусство-и-развлечения
В
Взаимоотношения
З
Здоровье
К
Кулинария-и-гостеприимство
Ф
Финансы-и-бизнес
П
Питомцы-и-животные
О
Образование
О
Образование-и-коммуникации
Саидос
Саидос
20.09.2020 14:37 •  Математика

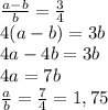
Выразите отношение a к b из пропорции a-b/b=3/4

👇
Ответ:
Камила1э
Камила1э
20.09.2020
\frac{a-b}{b}= \frac34\\ 4(a-b)=3b\\ 4a-4b=3b\\ 4a=7b\\ \frac{a}{b}= \frac74=1,75
4,4(43 оценок)
Открыть все ответы
Ответ:
Проведем высоту, являющуюся еще и медианой и бисс. ВМ. ТК нам дан равнобедренный треуг.АВС, то <ВАС=<ВСА. рассмотрим треуг-и АМF и МСЕ ,по св-ву паралл. прямых получим, ВС||FM (по усл.), значит при текущей АС, <ВСА=<FМА ( как соотв.), аналогично с прямыми АВ и МЕ получим <АВС=<ЕМС.
Рассмотрим эти же треугольники и покажем, что они равны:
1.<ВСА=<FМА
2. <АВС=<ЕМС
3. АМ = МС ( по св-ву медианы равнобедр. треуг.)
значит треугольники равны, а следовательно и их стороны. МF=ME
чтд
4,6(24 оценок)
Ответ:
ritaazarenko5
ritaazarenko5
20.09.2020
Предположительно древнейшие мельницы были распространены в Вавилоне, о чем свидетельствует кодекс царя Хаммурапи (около 1750 до н. э.) . Описание орга́на, приводившегося в действие ветряной мельницей, — первое документальное свидетельство использования ветра для приведения механизма в действие. Оно принадлежит греческому изобретателю Герону Александрийскому, I век н. э. Персидские мельницы описываются в сообщениях мусульманских географов в IX в. , отличаются от западных конструкцией с вертикальной осью вращения и перпендикулярно расположенными крыльями, лопатками или парусами. [1] Персидская мельница имеет лопасти на роторе, расположенные аналогично лопаткам гребного колеса на пароходе и должна быть заключена в оболочку, закрывающую часть лопаток, иначе давление ветра на лопасти будет одинаковым со всех сторон и, так как паруса жестко связан с осью, мельница не будет вращаться.
4,6(23 оценок)
Это интересно:
Новые ответы от MOGZ: Математика
logo
Вход Регистрация
Что ты хочешь узнать?
Спроси Mozg
Открыть лучший ответ