М
Молодежь
К
Компьютеры-и-электроника
Д
Дом-и-сад
С
Стиль-и-уход-за-собой
П
Праздники-и-традиции
Т
Транспорт
П
Путешествия
С
Семейная-жизнь
Ф
Философия-и-религия
Б
Без категории
М
Мир-работы
Х
Хобби-и-рукоделие
И
Искусство-и-развлечения
В
Взаимоотношения
З
Здоровье
К
Кулинария-и-гостеприимство
Ф
Финансы-и-бизнес
П
Питомцы-и-животные
О
Образование
О
Образование-и-коммуникации
Lisa18811
Lisa18811
28.04.2021 22:35 •  Математика

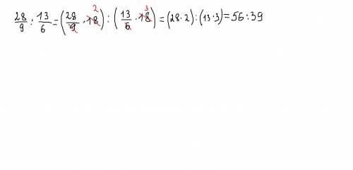
Используя свойства отношения, замените отношение дробных чисел равных ему отношением натуральных чисел: 3 1/9: 2 1/6

👇
Ответ:
3 1\9=превратим в неправильную дробь  3*9 +1 \ 9=28\9
2 1\6= 2*6+1 \ 6= 13\6
найдем общий знаменатель для чисел 9 и 6.Это число 18
умножим каждую из дробей на общий знаменатель.
смотри решение дальше на картинке:

такой попался мне здесь сегодня днем на стр.учебника

Используя свойства отношения, замените отношение дробных чисел равных ему отношением натуральных чис
4,7(38 оценок)
Открыть все ответы
Ответ:
КсюшаЛор
КсюшаЛор
28.04.2021
Число 0 служит границей между положительными и отрицательными числами: справа от 0 — положительные числа, величина которых изменяется от 0 до плюс бесконечности, а слева от 0 —отрицательные числа, величина которых тоже изменяется от 0 до минус бесконечности.

2 3 4 6 это положительные числа
-2 - 3 - 4 -6 это отрицательные числа

Числа, которые отличаются друг от друга только знаком,

Например, числа 2 и -2, 6 и -6. -10 и 10. Противоположные числа расположены на числовой оси в противоположных направлениях от точки О, но на одинаковом расстоянии от нее.

5-5=0 5-6=-1 5-7=-2 и тп
4,6(13 оценок)
Ответ:
alinaaubakirova1
alinaaubakirova1
28.04.2021
Основными переплетениями являются полотняное, диагональное или саржевое, сатиновое или атласное. Полотняное переплетение самое распространенное. В этом случае одна нить утка перекрывает одну нить основы. Это переплетение имеет одинаковую поверхность с обеих сторон. С таким переплетением вырабатываются ситцы, бязи, большинство бельевых тканей, платьевые ткани из натурального и искусственного шелка, шерсти. Лицевой стороной гладкокрашеных тканей с полотняным переплетением считается та, которая выглядит чище, лучше отделана, имеет меньше пушка. В набивных тканях на лицевую сторону нанесен рисунок
4,6(23 оценок)
Это интересно:
Новые ответы от MOGZ: Математика
logo
Вход Регистрация
Что ты хочешь узнать?
Спроси Mozg
Открыть лучший ответ