М
Молодежь
К
Компьютеры-и-электроника
Д
Дом-и-сад
С
Стиль-и-уход-за-собой
П
Праздники-и-традиции
Т
Транспорт
П
Путешествия
С
Семейная-жизнь
Ф
Философия-и-религия
Б
Без категории
М
Мир-работы
Х
Хобби-и-рукоделие
И
Искусство-и-развлечения
В
Взаимоотношения
З
Здоровье
К
Кулинария-и-гостеприимство
Ф
Финансы-и-бизнес
П
Питомцы-и-животные
О
Образование
О
Образование-и-коммуникации
zwitterlord2
zwitterlord2
30.12.2021 13:08 •  Математика

Формулы найти -8sin(3п/2-угол альфа ),если sin угла альфа =0,8

👇
Ответ:
kidz123
kidz123
30.12.2021
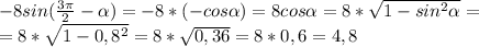
-8sin( \frac{3 \pi }{2}- \alpha )=-8*(-cos \alpha )=8cos \alpha =8* \sqrt{1-sin^2 \alpha }=\\=8* \sqrt{1-0,8^2}=8* \sqrt{0,36}=8*0,6=4,8
УДАЧИ ВАМ ВО ВСЁМ)))!
4,6(68 оценок)
Открыть все ответы
Ответ:
sshurik49
sshurik49
30.12.2021
Решение:1)85т-9т 5ц=75 т 5ц-масса заготовленного овса2)85т+75т 5ц=160 т 5ц-масса ячменя и овса2)220 т 5ц-160т 5ц=60т-масса проса.ответ:60тВ одной тонне  - 10 центнеров . 220 т 5 ц = 2205 ц                                                              85 т        = 850 ц                                                                9т 5 ц =  95 ц 1) 850 ц - 95 ц =  755 ц  -  заготовлено овса 2) 850 ц + 755 ц =  1605 ц -  ячменя и овса вместе 3) 2205 ц - 1605 ц =   600 ц = 60 т - заготовлено проса
4,4(26 оценок)
Ответ:
макс3104
макс3104
30.12.2021
Мои родители — большие поклонники классической музыки, они сумели привить любовь к ней и мне. С раннего детства я слышала произведения Моцарта, Баха, Гайдна, Листа, Штрауса, Глинки...

Однако любимым моим композитором является Людвиг Ван Бетховен — гениальный немецкий музыкант, представитель венской классической школы.

По отзывам современников, в "игре Бетховена бурный темперамент и виртуозный блеск сочетались с богатством воображения и глубиной чувства".

Начальное музыкальное образование композитор получил под руководством своего отца. Затем, переехав в 1792 году в столицу европейского музыкального искусства Вену, совершенствовался в композиции у Гайдна, Сальери. Став одним из самых модных пианистов в конце XVIII века, пользовался финансовой поддержкой богатой венской аристократии.

Ранний период творчества Бетховена ознаменовался появлением целого ряда сонат, в том числе знаменитых "Патетической" (1798 г.) и так называемой "Лунной" (1801 г.), а также ряда камерно-ансамблевых сочинений.

В конце 1790-х годов у композитора начала развиваться прогрессирующая глухота. Однако он сумел преодолеть душевный кризис и продолжал творить. Произведения начала XIX века пронизаны драматическими и героическими мотивами. Среди них можно назвать "Крейцерову сонату" для скрипки и фортепиано (1803 г.) и фортепианную сонату "Аппассионата" (1805 г.).

Еще при жизни Бетховена стали считать первым композитором своего времени, он заслуженно пользовался всеобщим почитанием.

В творчестве позднего Бетховена снова на передний план выходит, как богатство контрастов. Он пишет музыку драматическую и ликующую, лирическую и молитвенную, гармонически сочетает архаичность и современный стиль.

Одним из величайших вкладов Бетховена в развитие классической музыки стало то, что он впервые осуществил синтез симфонического и ораториального жанров, о чем ярко свидетельствует его Девятая симфония.

Я восхищаюсь произведениями Людвига ван Бетховена и его характером — мужеством, целеустремленностью, работо Его гениальные творения вошли в сокровищницу мировой культуры и до сих пор продолжают волновать сердца миллионов людей.
4,4(44 оценок)
Новые ответы от MOGZ: Математика
logo
Вход Регистрация
Что ты хочешь узнать?
Спроси Mozg
Открыть лучший ответ