Вход
Регистрация
Спроси Mozg AI
М
Молодежь
К
Компьютеры-и-электроника
Д
Дом-и-сад
С
Стиль-и-уход-за-собой
П
Праздники-и-традиции
Т
Транспорт
П
Путешествия
С
Семейная-жизнь
Ф
Философия-и-религия
Б
Без категории
М
Мир-работы
Х
Хобби-и-рукоделие
И
Искусство-и-развлечения
В
Взаимоотношения
З
Здоровье
К
Кулинария-и-гостеприимство
Ф
Финансы-и-бизнес
П
Питомцы-и-животные
О
Образование
О
Образование-и-коммуникации
.....больше.....
..меньше..
knopendui
28.08.2021 10:37 •
Математика
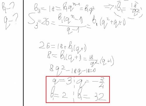
никак не могу ! 1) арифметическая прогрессия задана условиями a1=5,4, an+1=an-3,6. найдите сумму первых 9 ее членов прогрессии. 2) b1 - ? , q - ? , n=3, bn=18, sn=26
👇
Увидеть ответ
Ответ:
Neznayka56000
28.08.2021
1) Итак. Так как
, а это арифметическая прогрессия, то её разность равна -3,6.
S=
Подставляя все известные значения, имеем S=
81
2) картинка.
4,6
(94 оценок)
Открыть все ответы
Ответ:
UlanM
28.08.2021
1)3/5 : 9/25 = 3/5• 25/9=
Сокращаем 3 и 9 на 3; 5 и 25 на 5
1/1• 5/3= 5/3= 1 2/3
2)11/18:22/45= 11/18• 45/22=
Сокращаем 11 и 22 на 11; 18 и 45 на 9
1/2• 5/2= 5/4= 5/4= 1 1/4
3)20/21:30/35= 20/21• 35/30=
Сокращаем 20 и 30 на 10; 21 и35на 7
2/3• 5/3= 10/9= 1 1/9
4)27/50:36/75= 27/50• 75/36=
Сокращаем27 и 36 на9; 50 и75 на 25
3/2• 3/4= 9/8= 1 1/8
и ещё одно задание:
3/4:5/6+2 1/2*2/5-1:1 1/9=
3/4• 6/5+ (2•2+1)/2• 2/5- 1: (1•9+1)/9=
Сокращаем 4 и 6 на 2;
3/2• 3/5+ 5/2• 2/5 - 1: 10/9=
Сокращаем 2 и 2 на 2; 5 и 5 на 5
9/10+ 1/1• 1/1- 1• 9/10=
9/10+ 1- 9/10= 1.
4,4
(60 оценок)
Ответ:
kovtunenkoone
28.08.2021
1)верно ли утверждение: если уменьшаемое делится на некоторое число, а вычитаемое-нет, то разность на это число не делится?
рассмотрим разность чисел
где а- уменьшаемое, в- вычитаемое, с- разность
пусть а делится на какое то число х, тогда его можно записать как
в не делится на число х, тогда его можно записать как
. где у- остаток от деления
тогда их разность
мы видим что первое число делится на х , а остаток так и останется у
Значит если уменьшаемое делится на некоторое число, а вычитаемое-нет, то разность на это число не делится.
2 ) используя признаки делимости суммы и разности определите
-делиться ли 27+15 на 3,
Признак делимости суммы: "Если каждое слагаемое делится на некоторое число, то и вся сумма делится на это число"
проверим это
27:3=9
15:3=5
каждое слагаемое делится на число 3, значит сумма тоже будет делится на число 3
(27+15):3=42:3=14
(27+15):3=27:3+15:3=9+5=14
- делиться ли 55-20 на 5
признак делимости разности: Если и уменьшаемое, и вычитаемое делятся на некоторое число, то и разность делится на это число
проверим это
55:5=11
20:5=4
Уменьшаемое и вычитаемое делятся на 5 значит из разность будет делится на 5
(55-20):5=35:5=7
(55-20):5=55:5-20:5=11-4=7
4,8
(27 оценок)
Это интересно:
З
Здоровье
12.11.2020
Молочница: Причины, проявления и лечение в домашних условиях...
Д
Дом-и-сад
10.09.2020
Как установить в доме камеры наблюдения для системы безопасности...
К
Кулинария-и-гостеприимство
23.06.2020
Как заварить Кунг фу чай - лучший способ насладиться вкусом восточного чая...
К
Кулинария-и-гостеприимство
02.02.2020
Как сделать красивые и вкусные французские макароны с миндалем...
З
Здоровье
04.01.2023
Контроль гнева: как управлять своими эмоциями...
С
Семейная-жизнь
19.04.2021
Как помочь другу, потерявшему близкого человека: советы и рекомендации...
М
Мир-работы
01.04.2023
Как стать успешным командным игроком на работе: советы для успеха...
К
Кулинария-и-гостеприимство
16.05.2023
Как приготовить торт на именины собаки...
С
Стиль-и-уход-за-собой
16.07.2020
Пухлые щеки: прекрасный тренд или проблема?...
К
Компьютеры-и-электроника
01.06.2022
Как поднять свой боевой уровень в RuneScape: советы и рекомендации...
Новые ответы от MOGZ: Математика
99880
20.10.2022
1полка -? на 20% больше чем на 2 полке 2 полка-? когда с 1 полки переложили 3 книги на 2 полку,то кол-во книг на 2 полках стало одинаковым сколько книг было на второй полке...
шунгит
20.10.2022
Как и в чём проявляется содружество и музыки ?...
Lulu84
20.10.2022
На стройку в первый день 10350 т кирпича, что на 150 т больше, чем во второй. сколько тонн кирпича во второй день? с кратким записем....
eptvz4
20.10.2022
1.характерный признак египетского искусства? а) тесная связь искусства и религиозного культа б)искусство и религия развивается отдельно друг от друга в)искусство опирается...
Vvaalleerriiaa
20.10.2022
Решить уравнения: а)а*36+12=300 б)292: а=1600: 400...
SocialКрип
20.10.2022
115-6*х=73 540/х+85=91 18+(16-х)*8=90 (4900/у-280)/60=7...
попкорн6
20.10.2022
Решить 2x+17=22+3x 18+3x=x+14 5-3x=2x-8 9.5x+2=5.7x-5.6 1.5x+8=3.1x+16 2.9x+7.4=x+1.7...
vetoss2
20.10.2022
Мотоциклист ехал 3ч со скоростью 60км/ч и 2ч со средней скоростью 70км/ч. какое растояение он проехал за всё это время? узнай среднюю скорость его движения....
бог100001
05.06.2021
Фермер петро працелюб посіяв огірки в теплиці, довжина якої 16 м 50 см , а ширина- 12 м.скільки кілограмів огірків збере він у своїй теплиці, якщо з 1 м кв. збирають 30 кг...
МаКсИк009
05.06.2021
Ширина прямокутника 8 см, а довжина у 4 рази быльша. чому = площа прямокутника...
MOGZ ответил
1) разберите предложения по схеме.we went to the park last week. (++/...
Вокнах 3 этажа многоэтажного дома вы заметили дым.(написать подробный...
Из точки а в точку б одновременно выехали два автомобилиста первый проехал...
Напишите электронные формулы атомов кальция и углерода и формулы их высших...
Какие горки состоят из камней и растений...
Функции на монотонность: у=7+12х-х^3 , у=8+2х^2-х^4 , у=х^4-8х^2...
Запиши числа в порядке уменьшения 600 160 610 601...
30% суммы чисел m и n равно 50% разности чисел m и n . найдите сумму чисел...
Морфлогический разбор слов : в детстве ,подарили,кедровую....
Сор соринка сорный сорить сориночка сорняк засорить насорить. какие тут...
Полный доступ к MOGZ
Живи умнее Безлимитный доступ к MOGZ
Оформи подписку
О НАС
О нас
Блог
Условия пользования
Авторское право
Политика конфиденциальности
Предпочтения cookie-файлов
ПОМОЩЬ
Зарегистрируйся
Центр помощи
Центр безопасности
App
Вход
Регистрация
Что ты хочешь узнать?
Спроси Mozg
Открыть лучший ответ
×
S=
Подставляя все известные значения, имеем S=
2) картинка.