М
Молодежь
К
Компьютеры-и-электроника
Д
Дом-и-сад
С
Стиль-и-уход-за-собой
П
Праздники-и-традиции
Т
Транспорт
П
Путешествия
С
Семейная-жизнь
Ф
Философия-и-религия
Б
Без категории
М
Мир-работы
Х
Хобби-и-рукоделие
И
Искусство-и-развлечения
В
Взаимоотношения
З
Здоровье
К
Кулинария-и-гостеприимство
Ф
Финансы-и-бизнес
П
Питомцы-и-животные
О
Образование
О
Образование-и-коммуникации
89271870095
89271870095
26.08.2020 11:54 •  Математика

X2+6x-55=0 ответ должен получится -55

👇
Ответ:
ghigalskiidani
ghigalskiidani
26.08.2020
Как там может получиться -55?
X2+6x-55=0 ответ должен получится -55
4,5(82 оценок)
Ответ:
barmeb11
barmeb11
26.08.2020
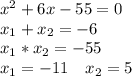
x^2+6x-55=0 \\
x_1+x_2=-6 \\
x_1*x_2=-55 \\
x_1=-11 \ \ \ x_2=5

-11*5=-55
4,7(90 оценок)
Открыть все ответы
Ответ:
Обойщиков Кронид Александрович
Обойщиков Кронид Александрович русский поэт, родился в станице Тацинская, Ростовской области 10 апреля 1920г., умер 11 сентября 2011 в Краснодаре на 92 году жизни.
Обойщиков К.А. окончил Краснодарское авиационное училище, военный летчик. С первых дней участник Великой Отечественной войны, служил в бомбардировочном полку, охранял конвои союзников. Награжден за боевые заслуги двумя орденами Отечественной войны, орденом Красного знамени.
Первое стихотворение восьмиклассника Кронида  Обойщикова печатается  в газете «Армавирская коммуна» в 1936г. Послевоенные годы стал печататься в армейских и флотских газетах и журналах. В 1963 вышел первый сборник стихов «Тревожное счастье». Издал более 30 книг, в том числе: Бессонное небо», «Линия судьбы», «Награда», «Мы были». «Салют победы», «Имя твое в небесах пронесу». Кронид Обойщиков автор и составитель четырех томной антологии биографий кубанцев – Героев Советского Союза и трехтомного поэтического «Венка Героям Кубани».
Он много писал для детей замечательных поэтических произведений: «Сфетофорик», «Зойка пешеход», «Как слонёнок учился летать». Делал переводы поэтов Северного Кавказа.
Кронид Обойщиков член Союза писателей СССР и Союза писателей России, член Союза журналистов СССР и Союза журналистов России.
Заслуженный работник культуры России, заслуженный деятель искусств Кубани, почетный гражданин Краснодара, лауреат премии Н. Островского, премии Е. Ф. Степановой.
Герой труда Кубани.
4,6(23 оценок)
Ответ:
anyayakubchick
anyayakubchick
26.08.2020
Решение на фото!
Поскольку у Вас указан 1-4 класс, то разбирать вариант Стереометрия — дело лишнее. 

Вариант Планиметрия:
При пересечении трех прямых минимальное количество точек можно получить лишь 2, если построить их как две параллельные и одну секущую. Однако по условию нам необходимо построить 4. Так что последнюю прямую можно построить так, чтобы она совпадала с одной из уже построенных прямых. В моем случае, 4-я прямая совпадает с секущей прямой. Удачи!

п.с. существуют и другие варианты расположения 4-х прямых, но это снова стереометрия :))
Построить 4 прямые так, чтобы образовалось 2 точки пересечения.
4,8(38 оценок)
Это интересно:
Новые ответы от MOGZ: Математика
logo
Вход Регистрация
Что ты хочешь узнать?
Спроси Mozg
Открыть лучший ответ