
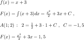
ответ:
пошаговое объяснение:
точка о -центр окружности. концы радиусов обозначим а и в. соединим концы радиусов, получим хорду ав. рассмотрим полученный треугольник аов.
он равнобедренный, т.к ао=во = 8 см.. из вершины о проведём высоту он к хорде. получили 2 тр-ка. рассмотрим тр-ник вон. угол нов = 120: 2 = 60 гр., т.к. высота равнобедренного тр-ника делит этот угол пополам. угол вон = 90гр. угол в = 180 -60 -90 =30 гр. высота он лежит против угла 30 гр и равна половине гипотенузы он. во= 8/2 = 4 см.
ответ: 4 см