
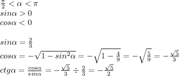
Объяснение:
sin α = 2/3.
π/2<α< π - , угол α расположен во второй четверти. . Значит, его косинус отрицателен.
Из основного тригонометрического тождества sin²a+cos²a=1 следует, что:
cos α = −
= -
= - 
Значения ctga находим через sina и cosa по формуле:
ctgα =
= -
:
= - 
Объяснение:
1.
а) х/7 = 14
х = 98;
б) 8х +11,2 = 0
8х = -11,2
х = -1,4
в) 5х - 1,7 = 3х + 5,3
5х - 3х = 5,3 + 1,7
2х = 7
х = 3,5
г) 3х - (5х - 7) = 21
3х - 5х + 7 = 21
5х - 3 х = 7 - 21
2х = -14
х = -7
2.
х - прочтено страниц во 2-й день
х/3 - прочтено страниц в 1-й день
х + х/3 = 4х/3 - прочтено страниц за 2 дня
4х/3 = 256
х/3 = 64
х = 64 · 3
х = 192
ответ: 3а 2-й день было прочтено 192 страницы
3.
8х - (2х + 5) = 3(2х - 3)
8х - 2х - 5 = 6х - 9
6х - 5 = 6х - 9
-5 ≠ -9
Решений нет
4.
х - было книг во 2-м шкафу
4х - было книг в 1-м шкафу
4х - 24 - стало книг в 1-м шкафу
х + 18 - стало книг во 2-м шкафу
4х - 24 = х + 18
3х = 42
х = 14 - было книг во 2-м шкафу
4х = 56 - было книг в 1-м шкафу
Объяснение:
а) х=2 это вертикальная асимптота. Это точка разрыва, т. е. это будет та точка, в которой знаменатель равен 0, т.к. на 0 делить нельзя. Следовательно
2·2+b=0; b=-4
y=3 - это горизонтальная асимптота. К этому значению стремится предел функции. Тогда

Применяя правило Лопиталя, будем иметь

b)
i)

Как видим, к требуемому виду функция не приводится, т.к. 3≠-2
ii) В точках пересечения с осью у абцисса равна 0. Подставляем в уравнение, находим у:

A(0;-2.75) - точка пересечения с осью у
В точках пересечения с осью х ордината равна 0. Решаем уравнение

- точка пересечения с осью х.
iii) Дополнительно исследуем функцию в точке разрыва

Схематически строим график