М
Молодежь
К
Компьютеры-и-электроника
Д
Дом-и-сад
С
Стиль-и-уход-за-собой
П
Праздники-и-традиции
Т
Транспорт
П
Путешествия
С
Семейная-жизнь
Ф
Философия-и-религия
Б
Без категории
М
Мир-работы
Х
Хобби-и-рукоделие
И
Искусство-и-развлечения
В
Взаимоотношения
З
Здоровье
К
Кулинария-и-гостеприимство
Ф
Финансы-и-бизнес
П
Питомцы-и-животные
О
Образование
О
Образование-и-коммуникации
vuuud00Sonya
vuuud00Sonya
28.09.2020 06:44 •  Геометрия

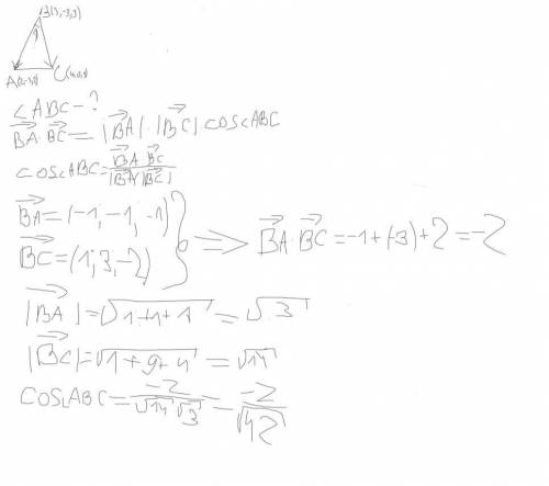
Найти косинус угла В треугольника ABC, если А (2; -4; 2), В (3; 3; 3), С

👇
Ответ:
bataev2007
bataev2007
28.09.2020

-2/sqrt42

Объяснение:


Найти косинус угла В треугольника ABC, если А (2; -4; 2), В (3; 3; 3), С
4,4(89 оценок)
Открыть все ответы
Ответ:
ramzinakadenbaeva
ramzinakadenbaeva
28.09.2020
1) тут можно воспользоваться теоремой высоты прямоугольного треугольника.
Еcли  на произвольной прямой  отложить циркулем cумму смежных  сторон и как на диаметре   построить окружность,то все углы   вписанные в эту окружность будут прямыми. ПО  теореме высоты  ab=A^2 где a,b -cтороны  равновеликого прямоугольника , A-cторона исходного  квадрата. Пользуясь этим,проведем перпендикулярно  к  сумме смежных сторон в  произвольное место  отрезок ,являющийся  стороной квадрата.К его верхнему концу проведем перпендикулярную прямую.В пересечении  этой прямой с  окружностью получим точку.Из  нее снова проведем   перпендикуляр  к сумме смежных сторон.То  на какие отрезки разделит этот  перпендикуляр  сумму смежных сторон и  будут сторонами искомого  прямоугольника.2)Воспользуемся   тем что 
диагонали  параллелограмма  пересекаются   и точкой пересечения делятся  пополам.Проведем из  точки P к  вершине  угла прямую,продлив ее  с другой стороны,отложим  отрезок PO с  другой стороны от точки P на этой прямой
OP=PO1 из точки О1  прповедем  прямые параллельные  сторонам угла.И получим точки пересечения M,N ,тогда тк  MONO1-параллелограмм ,то  диагонали пересекутся в точке P,и  там делятся пополам.
На построение: 1) построить прямоугольник, равновеликий данному квадрату, если дана сумма двух смежн
На построение: 1) построить прямоугольник, равновеликий данному квадрату, если дана сумма двух смежн
4,6(40 оценок)
Ответ:
PeterSakh
PeterSakh
28.09.2020
Тут можно воспользоваться теоремой высоты в прямоугольном треугольнике высота опущенная из вершины прямого угла делит гипотенузу на отрезки для которых верно что x1*x2=h^2 при этом x1+x2=c где с-гипотенуза отсюда вытекает построения 1) начертим отрезок являющийся суммой смежных сторон построим на нем как на диаметре окружность тогда все точки лежащие на этой окружности будут образовывать прямоугольный треугольник если соединить ее с этой прямой далее опустим в произвольные место на эту сторону высоту равную стороне данного квадрата далее через вершину этого перпендикуляра проведем еще 1 прямую перпендикулярную данной прямой и получим 2 точки пересечения с окружностью из любых из этих точек опустим на нашу сторону являющуюся суммой перпендикуляр он разобьет эту прямую на 2 отрезка которые и будут сторонами искомого прямоугольника осталось только составить из этих сторон прямоугольник.
4,8(49 оценок)
Это интересно:
Новые ответы от MOGZ: Геометрия
Полный доступ к MOGZ
Живи умнее Безлимитный доступ к MOGZ Оформи подписку
logo
Вход Регистрация
Что ты хочешь узнать?
Спроси Mozg
Открыть лучший ответ