М
Молодежь
К
Компьютеры-и-электроника
Д
Дом-и-сад
С
Стиль-и-уход-за-собой
П
Праздники-и-традиции
Т
Транспорт
П
Путешествия
С
Семейная-жизнь
Ф
Философия-и-религия
Б
Без категории
М
Мир-работы
Х
Хобби-и-рукоделие
И
Искусство-и-развлечения
В
Взаимоотношения
З
Здоровье
К
Кулинария-и-гостеприимство
Ф
Финансы-и-бизнес
П
Питомцы-и-животные
О
Образование
О
Образование-и-коммуникации
Виолетта2018
Виолетта2018
11.09.2020 16:35 •  Геометрия

Хто знає до іть будь ласка))

👇
Ответ:
deaflora
deaflora
11.09.2020

Відповідь:

1 см

Пояснення:

Так як в основі прямокутний трикутник, то висота піраміди опуститься на середину гіпотенузи (На центр описаного кола)

Тоді :

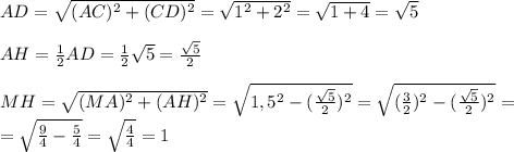
MH = \sqrt{(MA)^2+(AH)^2} \\AH=\frac{1}{2} AD\\AD=\sqrt{(AC)^2+(CD)^2}

AD=\sqrt{(AC)^2+(CD)^2}=\sqrt{1^2+2^2}=\sqrt{1+4}=\sqrt{5}AH=\frac{1}{2} AD=\frac{1}{2} \sqrt{5} =\frac{\sqrt{5} }{2}MH = \sqrt{(MA)^2+(AH)^2} =\sqrt{1,5^2-(\frac{\sqrt{5} }{2})^2} =\sqrt{(\frac{3}{2} )^2-(\frac{\sqrt{5} }{2})^2} =\\=\sqrt{\frac{9}{4} -\frac{5}{4} } =\sqrt{\frac{4}{4} } =1

4,4(88 оценок)
Открыть все ответы
Ответ:
natalinatark
natalinatark
11.09.2020
В равнобедренном треугольнике две равные стороны называются боковыми, а третья - основанием треугольника. Точка пересечения равных сторон — вершина равнобедренного треугольника. Угол между одинаковыми сторонами считается углом при вершине, а два других — углами при основании треугольника.
Являются доказанными такие свойства равнобедренного треугольника:
- равенство углов при основании, 
- совпадение проведенных из вершины биссектрисы, медианы и высоты с осью симметрии треугольника, 
- равенство между собой двух других биссектрис (медиан, высот),
- пересечение биссектрис (медиан, высот), проведенных из углов при основании, в точке, лежащей на оси симметрии.
Наличие одного из этих признаков является доказательством того, что треугольник равнобедренный.
4,4(25 оценок)
Ответ:
Recor23
Recor23
11.09.2020
Из теоремы (сумма смежныхьуглов равна 180°) следует, что если два угла равны, то смежные с ними углы равны.
Допустим, углы (a1b) и (c1d) равны. Нам нужно доказать, что углы (a2b) и (c2d) тоже равны.
Сумма смежных углов равна 180°. Из этого следует, что a1b + a2b = 180° и c1d + c2d = 180°. Отсюда, a2b = 180° - a1b и c2d = 180° - c1d. Так как углы (a1b) и (c1d) равны, то мы получаем, что a2b = 180° - a1b = c2d. По свойству транзитивности знака равенства следует, что a2b = c2d. Что и требовалось доказать.
4,8(33 оценок)
Это интересно:
Новые ответы от MOGZ: Геометрия
logo
Вход Регистрация
Что ты хочешь узнать?
Спроси Mozg
Открыть лучший ответ