М
Молодежь
К
Компьютеры-и-электроника
Д
Дом-и-сад
С
Стиль-и-уход-за-собой
П
Праздники-и-традиции
Т
Транспорт
П
Путешествия
С
Семейная-жизнь
Ф
Философия-и-религия
Б
Без категории
М
Мир-работы
Х
Хобби-и-рукоделие
И
Искусство-и-развлечения
В
Взаимоотношения
З
Здоровье
К
Кулинария-и-гостеприимство
Ф
Финансы-и-бизнес
П
Питомцы-и-животные
О
Образование
О
Образование-и-коммуникации
ostrom889p012wa
ostrom889p012wa
28.01.2022 04:23 •  Геометрия

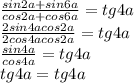
Доказать тождество : sin2a+sin6a÷cos2a+cos6a=tg4a

👇
Ответ:
eminhesenov20
eminhesenov20
28.01.2022
\frac{sin2a+sin6a}{cos2a+cos6a}=tg4a\\\frac{2sin4acos2a}{2cos4acos2a}=tg4a\\\frac{sin4a}{cos4a}=tg4a\\tg4a=tg4a

Доказано

sina+sinb=2sin\frac{a+b}{2}cos\frac{a-b}{2}\\cosa+cosb=2cos\frac{a+b}{2}cos\frac{a-b}{2}
4,7(78 оценок)
Открыть все ответы
Ответ:
123123324322221
123123324322221
28.01.2022
Так как A внутри BCD, AB=AD, то BAD - тоже равнобедренный треугольник, и у него общее с BCD основание BD. Поставим точку K так, что BK=KD, тогда KC - медиана BCD, KA - медиана BAD.
Докажем второй пункт.  Как известно, высота равнобедренного треугольника совпадает с его медианой и биссектрисой и является его осью симметрии. Также, любые два равнобедренных треугольника, построенные на одном основании, обладают общей осью симметрии и, как следствие, общей высотой/медианой/биссектрисой. Тогда получаем, что KA⊂KC и все три точки лежат на KC.
Это автоматически доказывает первый пункт, т.к. непонятные ∠ACB и ∠ACD превращаются в углы при биссектрисе ∠KCB=∠KCD, которые равны между собой.
4,6(94 оценок)
Ответ:
dianakokorina91
dianakokorina91
28.01.2022
Окружность, уравнение которой x^2+y^2 = 4 - это окружность с центром в начале координат радиусом 2., поскольку уравнение окружности таково: (x - a)^2 + (y - b)^2 = R^2 с центром в точке O(a;b) Радиуса R. Из условия имеем: (x - 0)^2 + (y - 0)^2 = 2^2. Далее, Из условия AB = BM. Рассмотрим это со следующего ракурса: AB = BM - радиусы некоторой окружности. На рисунке как бы мы не проводили хорду АВ, АВ будет равна ВМ и точка М будет лежать на той самой окружности. И хорда АМ большой окружности будет делится надвое радиусом в точке меньшей окружности (B, B1, B2 ... Bn). Получается, множество точек М - это некая окружность с центром B(2;0) радиусом 4. И уравнение такой окружности будет иметь вид: (x-2)^2 + y^2 = 16.

25 за подробное решение : дана окружность х² + у²=4 . из точки а(-2; 0) проведена хорда ав, которая
25 за подробное решение : дана окружность х² + у²=4 . из точки а(-2; 0) проведена хорда ав, которая
25 за подробное решение : дана окружность х² + у²=4 . из точки а(-2; 0) проведена хорда ав, которая
4,7(93 оценок)
Новые ответы от MOGZ: Геометрия
logo
Вход Регистрация
Что ты хочешь узнать?
Спроси Mozg
Открыть лучший ответ