М
Молодежь
К
Компьютеры-и-электроника
Д
Дом-и-сад
С
Стиль-и-уход-за-собой
П
Праздники-и-традиции
Т
Транспорт
П
Путешествия
С
Семейная-жизнь
Ф
Философия-и-религия
Б
Без категории
М
Мир-работы
Х
Хобби-и-рукоделие
И
Искусство-и-развлечения
В
Взаимоотношения
З
Здоровье
К
Кулинария-и-гостеприимство
Ф
Финансы-и-бизнес
П
Питомцы-и-животные
О
Образование
О
Образование-и-коммуникации
Лис489
Лис489
27.02.2022 17:15 •  Геометрия

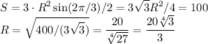
Найдите радиус окружности, если площадь вписанного в нее равностороннего треугольника равна 100

👇
Ответ:
katyaarxipova
katyaarxipova
27.02.2022
Если в окружность вписан равносторонний треугольник, то его можно распилить на три равнобедренных треугольника, проведя три радиуса из центра окружности в вершины треугольника. Тогда, учитывая что ребра этих треугольников равны радиусу, а углы напротив основания 120 градусов

\displaystyle
S = 3\cdot R^2\sin(2\pi/3)/2 = 3\sqrt{3}R^2/4=100\\
R =\sqrt{400/(3\sqrt{3})} = \frac{20}{\sqrt[4]{27}} = \frac{20\sqrt[4]{3}}{3}
4,4(25 оценок)
Открыть все ответы
Ответ:
legoman1858
legoman1858
27.02.2022
Через две точки можно провести прямую, если эти точки лежат в одной плоскости.
Здесь А и Д лежат в одной плоскости, поэтому через них можно провести прямую. Соединим их. 
А и М тоже лежат в одной плоскости, соединим их.
Плоскость (BCC₁) параллельна плоскости (ADD₁),поэтому через М проводим прямую параллельно DD1.
Она пересеклась с СС1. Обозначим точку их пересечения К.
Точки К и D₁ лежат в одной плоскости, ⇒ через них можно провести прямую, лежащую в этой плоскости. 
Получено нужное сечение АМКD₁.
Для того, чтобы вычислить периметр сечения, нужно найти длину  всех стороны четырехугольника АМКD₁
АD₁ - диагональ квадрата со стороной 4
АD₁=4√2
МК параллельна ВС₁=AD₁ и является средней линией треугольника ВСС₁.
Она равна половине ВС₁
МК=2√2
⊿АВМ=⊿КС₁D₁ по двум сторонам и углу между ними.
АМ=КD₁
Из треугольника  АВМ, где  АВ=4, ВА=2
АМ=√(АВ²+ВМ²)=√(16+4)=2√5
Периметр АМКD₁
Р=2*2√5+4√2+2√2Р=6√2+4√5 (единиц длины)
Abcda1b1c1d1 – куб, ребро которого 4 см. постройте сечение куба плоскостью, проходящей через точки а
4,6(58 оценок)
Ответ:
rjulia064
rjulia064
27.02.2022
AB=BC=40; BH=4√91

Биссектриса треугольника делит сторону на отрезки, пропорциональные прилежащим сторонам.
AA1/A1B= AC/BC 
C1C/BC1= AC/AB
AB=BC => AA1/A1B= C1C/BC1
Если прямые отсекают на секущих пропорциональные отрезки, то прямые параллельны.
AC||A1C1

△ABC~△A1BC1 (углы при основаниях равны как соответственные при AC||A1C1)
k= AC/A1C1 =AB/A1B

AH=√(AB^2 -BH^2) =√(1600 -16*91) =12
Высота в равнобедренном треугольнике является медианой.
AC=2AH =12*2 =24

AA1/A1B= AC/BC =24/40 =0,6
AB/A1B= (AA1 +A1B)/A1B =AA1/A1B +1 =1,6

A1C1= AC/k =24/1,6 =15
Сторона равнобедренного треугольника равна 40 см.а высота проведенная к основанию 4√ 91 найти рассто
4,4(27 оценок)
Новые ответы от MOGZ: Геометрия
logo
Вход Регистрация
Что ты хочешь узнать?
Спроси Mozg
Открыть лучший ответ