М
Молодежь
К
Компьютеры-и-электроника
Д
Дом-и-сад
С
Стиль-и-уход-за-собой
П
Праздники-и-традиции
Т
Транспорт
П
Путешествия
С
Семейная-жизнь
Ф
Философия-и-религия
Б
Без категории
М
Мир-работы
Х
Хобби-и-рукоделие
И
Искусство-и-развлечения
В
Взаимоотношения
З
Здоровье
К
Кулинария-и-гостеприимство
Ф
Финансы-и-бизнес
П
Питомцы-и-животные
О
Образование
О
Образование-и-коммуникации
upf300804
upf300804
16.04.2020 21:58 •  Геометрия

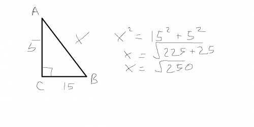
Впрямоугольнике тр-ке авс угол с=90° ас=5 вс=15 см . найдите ав.

👇
Ответ:
on82
on82
16.04.2020
По теореме Пифагора находишь 
Впрямоугольнике тр-ке авс угол с=90° ас=5 вс=15 см . найдите ав.
4,7(11 оценок)
Открыть все ответы
Ответ:
DisasterYt
DisasterYt
16.04.2020

1) в равностороннем треугольнике все высоты равны.

Верно.Это свойство высот равностороннего треугольника

2)точка пересечения медиан произвольного треугольника - это центр окружности, описанной около этого треугольника.

Неверно. Центром описанной около треугольника окружности является точка пересечения серединных  перпендикуляров к сторонам треугольника

4)медиана, это отрезок соеденяющий середины двух сторон треугольника.

Неверно. Медиана  - отрезок, соединяющий вершину треугольника с серединой противоположной стороны

5) треугольник со сторонами 6,8,9- не существует.

Неверно. Существует.

Треугольник существует только тогда, когда сумма любых двух его сторон больше третьей.

Проверим:

6+8>9, 14>9  

8+9>6, 17>6

6+9>8, 15>8  

6) треугольник со сторонами 3,4,5 -прямоугольный.

Верно. Он египетский.

Египетский треугольник - прямоугольный треугольник с соотношением сторон 3:4:5

ответ 1 и 6

4,8(27 оценок)
Ответ:
alekskholod01
alekskholod01
16.04.2020
Для решения данной задачи вспомним свойство равнобедренного треугольника: биссектриса проведенная из вершины угла равнобедренного треугольника к основанию является его высотой и медианой.
Таким образом задача сводится к решению двух подзадач.
1. построение биссектрисы угла;
2. построение перпендикуляра к прямой через заданную точку.
Решения:
1. раскроем циркуль на удобное расстояние и, поставив ножку на т. А сделаем засечки на лучах угла;
не изменяя раствора циркуля, поставив его ножку на сделанные засечки, сделаем еще две до пересечения;
полученная т. А1 принадлежит биссектрисе, проводим её.
2. раскроем циркуль на расстояние большее чем расстояние от т. М до биссектрисы и, поставив ножку на т. М сделаем засечки на АА1;
не меняя раствор циркуля ставим ножку на засечки и делаем новые засечки с другой стороны АА1;
получаем точку М1;
прямая ММ1 перпендикулярна АА1 и точки В и С - пересечения с углом А образуют равнобедренный треугольник АВС с основанием ВС которому принадлежит т. М.
4,7(47 оценок)
Новые ответы от MOGZ: Геометрия
logo
Вход Регистрация
Что ты хочешь узнать?
Спроси Mozg
Открыть лучший ответ