М
Молодежь
К
Компьютеры-и-электроника
Д
Дом-и-сад
С
Стиль-и-уход-за-собой
П
Праздники-и-традиции
Т
Транспорт
П
Путешествия
С
Семейная-жизнь
Ф
Философия-и-религия
Б
Без категории
М
Мир-работы
Х
Хобби-и-рукоделие
И
Искусство-и-развлечения
В
Взаимоотношения
З
Здоровье
К
Кулинария-и-гостеприимство
Ф
Финансы-и-бизнес
П
Питомцы-и-животные
О
Образование
О
Образование-и-коммуникации

Решить первые 3 уравнения с подробным

👇
Ответ:
ELINA98736
ELINA98736
14.07.2021

Пошаговое объяснение:

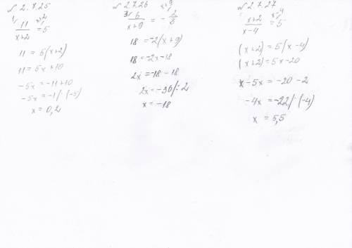
11/(x+2) = 5

5*(x+2) = 11

5x + 10 = 11

5x = 11 - 10

5x = 1

x = 1 : 5

x = 0,2

============

6/(x+9) = -2/3

-2*(x + 9) =  6*3

-2x - 18 = 18

-2x = 18 + 18

-2x = 36

x = 36 :(-2)

x = -18

=============

(x+2)/(x-4) = 5

x + 2 = 5*(x - 4)

x + 2 = 5x - 20

5x - x = 2 + 20

4x = 22

x = 22 : 4

x = 5,5


Решить первые 3 уравнения с подробным
4,4(67 оценок)
Ответ:
Rehjxrf13
Rehjxrf13
14.07.2021

Если есть какие-либо вопросы, то пишите.

4,4(73 оценок)
Открыть все ответы
Ответ:
pollianna2
pollianna2
14.07.2021
Решаем уравнением.
Обозначим обычную скорость Ивана Ивановича за х. Тогда скорость, вызванная погодными условиями будет х-10 км\ч.
1 ч 20 минут - это 1 1\3
1 ч 30 минут - это 1 1\2.
А разница между обычным временем и увеличенными из-за погодных условий временем т.е 10 минут - обозначим как 1\6 часа.
Составим уравнение : х*1 1\3 = (х-10)* 1 1\2.
4\3х = 3\2х - 30\2.
Переносим числа с коэффициентом  х в левую часть уравнения, изменяя знак :
4\3х-3\2х=-30\2.
Приводим к общему знаменателю и получим:
8\6х-9\6х = -15.
-1\6х=-15.
Значит, надо -15 умножить на -6.
Получим, что х=90.
Находим путь : 90*1 1\3 = 120
ответ : Расстояние от дома до дачи Ивана Ивановича - 120 км.
4,7(4 оценок)
Ответ:
ЛиЗоЧкА198
ЛиЗоЧкА198
14.07.2021
Решаем уравнением.
Обозначим обычную скорость Ивана Ивановича за х. Тогда скорость, вызванная погодными условиями будет х-10 км\ч.
1 ч 20 минут - это 1 1\3
1 ч 30 минут - это 1 1\2.
А разница между обычным временем и увеличенными из-за погодных условий временем т.е 10 минут - обозначим как 1\6 часа.
Составим уравнение : х*1 1\3 = (х-10)* 1 1\2.
4\3х = 3\2х - 30\2.
Переносим числа с коэффициентом  х в левую часть уравнения, изменяя знак :
4\3х-3\2х=-30\2.
Приводим к общему знаменателю и получим:
8\6х-9\6х = -15.
-1\6х=-15.
Значит, надо -15 умножить на -6.
Получим, что х=90.
Находим путь : 90*1 1\3 = 120
ответ : Расстояние от дома до дачи Ивана Ивановича - 120 км.
4,6(94 оценок)
Это интересно:
Новые ответы от MOGZ: Математика
logo
Вход Регистрация
Что ты хочешь узнать?
Спроси Mozg
Открыть лучший ответ