
1) Натуральные числа записывают с специальных знаков, которые называют цифрами
2)Существует 10 цифр : 0,1,2,3,4,5,6,7,8,9
3)Натуральные числа, записанные одной цифрой, называют однозначными, двумя цифрами - двузначными, тремя цифрами - трехзначными
4)Все числа, кроме однозначных, называют многозначными
5)Первой в записи натурального числа не может стоять цифра 0
6)Чтобы прочитать натуральное число, цифры его записи разбирают справа налево на группы по 3, эти группы называют классами
7)Первый справа класс называют классом единицами, второй справа - классом тысяч, третий - классом миллионов, четвёртый - классом миллиардов
8)Каждый класс разбивается справа налево на разряды : единицы, десятки, сотни
9) Запись натуральных чисел, которой мы пользуемся, называют десятичной позиционной системой
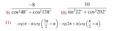
решение на фотографии