М
Молодежь
К
Компьютеры-и-электроника
Д
Дом-и-сад
С
Стиль-и-уход-за-собой
П
Праздники-и-традиции
Т
Транспорт
П
Путешествия
С
Семейная-жизнь
Ф
Философия-и-религия
Б
Без категории
М
Мир-работы
Х
Хобби-и-рукоделие
И
Искусство-и-развлечения
В
Взаимоотношения
З
Здоровье
К
Кулинария-и-гостеприимство
Ф
Финансы-и-бизнес
П
Питомцы-и-животные
О
Образование
О
Образование-и-коммуникации
Shynar958
Shynar958
24.08.2021 01:43 •  Математика

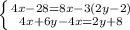
Система 4x-28=8x-3(2y-2 ) и

👇
Ответ:
юра417
юра417
24.08.2021

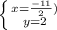
ответ: x =  \frac{-11}{2}y = 2.

\left \{ {{4x-28=8x-3(2y-2)} \atop {4x+6y-4x=2y+8}} \right.

\left \{ {{4x-28=8x-3(2y-2)} \atop {6y=2y+8}} \right.

\left \{ {{4x-28=8x-3(2y-2)} \atop {4y=8}} \right.

\left \{ {{4x-28=8x-3(2y-2)} \atop {y=2}} \right.

Подставим y:

\left \{ {{4x-28=8x(2*2-2)} \atop {y=2}} \right.

\left \{ {{4x-28=8x-6)} \atop {y=2}} \right.

\left \{ {{-4x=22)} \atop {y=2}} \right.

\left \{ {{x=\frac{-11}{2} )} \atop {y=2}} \right.

4,8(56 оценок)
Открыть все ответы
Ответ:
Julydd
Julydd
24.08.2021
"Аня, Вика и Сергей" пойдут в кино обозначим каждое как A,B,C
1 A-> B&C
2 A≡C
3 C->B
Эти утверждения можно представить в конъюнктивной форме
1) -A ∨ B&C
2) A&C ∨ -A&-C
3) -C∨B

Нужно найти ситуацию, при которых верны ровно 2 из этих утверждений.
Если верные 1) и 2), этому удовлетворяют ситуации "пойдут все" или "никто не пойдет" или "пойдет Вика"
Во всех этих ситуация 3) тоже верно.

Если верны 2) и 3), этому соответствуют те же ситуации.
0 0 0
0 1 0
1 1 1
Если верны 1) и 3), то при ситуации "пойдут сергей и Вика", 2) неверно. 1) условие не означает, что если пойдут Вика и Сергей, Аня тоже непременно пойдет.
4,7(22 оценок)
Ответ:
TigrNavigator322
TigrNavigator322
24.08.2021
Все мы в детстве читали сказки. Я заметил одну интересную вещь. Некоторые события и персонажи, которые в них есть, имеют свои прототипы и в наше время. Вот некоторые из них:
Сапоги скороходы - ролики;
Соловей разбойник - гаишник;
Ступа - частный самолёт;
Яблочко на блюдечке - youtube;
Иван дурак - чиновник;
Самоходные сани - автомобиль;
Клубок, который показывает дорогу - навигатор;
Кощей бессмертный - Ленин;
Скатерть самобранка - шведский стол;
Теремок - общежитие;
Чудо печка - фаст фуд;
Мальчик с пальчик- нано технологии;
Дуремар - Г. Малахов;
Чудо- юдо - неформал;
Мальвина - репетитор;
Поди туда, не знаю куда -сбор справок.
Источник
А теперь легко и названия сказок вспомнить
:А. Н. Толстой " Приключения Буратино"," Иван -крестьянский сын и Чудо -Юдо"
" Царевна - Лягушка ",
" По щучьему веленью"
" Мальчик с пальчик ",
Гауф " Маленький Мук"
"Скатерть самобранка"
"Илья Муромец и Соловей разбойник"
4,5(53 оценок)
Это интересно:
Новые ответы от MOGZ: Математика
logo
Вход Регистрация
Что ты хочешь узнать?
Спроси Mozg
Открыть лучший ответ