М
Молодежь
К
Компьютеры-и-электроника
Д
Дом-и-сад
С
Стиль-и-уход-за-собой
П
Праздники-и-традиции
Т
Транспорт
П
Путешествия
С
Семейная-жизнь
Ф
Философия-и-религия
Б
Без категории
М
Мир-работы
Х
Хобби-и-рукоделие
И
Искусство-и-развлечения
В
Взаимоотношения
З
Здоровье
К
Кулинария-и-гостеприимство
Ф
Финансы-и-бизнес
П
Питомцы-и-животные
О
Образование
О
Образование-и-коммуникации
Zebra1411
Zebra1411
15.02.2023 02:52 •  Математика

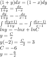
Найти частное решение уравнения, удовлетворяющее начальным условиям: (1+y)dx=(1-x)dy; y=3 при x=-2

👇
Ответ:
innaecaln
innaecaln
15.02.2023
(1+y)dx=(1-x)dy \\ \frac{dy}{1+y} = \frac{dx}{1-x} \\ \frac{dy}{1+y} = -\frac{dx}{x-1} \\ \int\limits\frac{d(y+1)}{1+y} = - \int\limits\frac{d(x-1)}{x-1} \\ lny=-lnx+lnC \\ y= \frac{C}{x} \\ y(-2)= \frac{C}{-2}=3 \\ C=-6 \\ y=-\frac{6}{x}
4,4(75 оценок)
Открыть все ответы
Ответ:
jojo31
jojo31
15.02.2023
А х1 и х2 - это известные числа?
1) 2x - 11 < 0; то есть x < 11/2; тогда |2x - 11| = 11 - 2x
(x1 + x2)^(11 - 2x) - 12 = 0
(x1 + x2)^(11 - 2x) = 12
11 - 2x = log (осн. (x1+x2)) 12
x = (11 -  log (осн. (x1+x2)) 12) / 2 = 11/2 -  1/2*log (осн. (x1+x2)) 12 
Должно быть x < 11/2, то есть
log (осн. (x1+x2)) 12 > 0
Иначе говоря, должно быть x1 + x2 > 1
Если да, то корень подходит.

2) 2x - 11 = 0, то есть x = 11/2, тогда
(x1 + x2)^0 - 12 = 0
Решений нет

3) 2x - 1 > 0, то есть x > 11/2, тогда |2x - 11| = 2x - 11
(x1 + x2)^(2x - 11) - 12 = 0
(x1 + x2)^(2x - 11) = 12
2x - 11 = log (осн. (x1+x2)) 12
x = (11 + log (осн. (x1+x2)) 12) / 2 = 11/2 + 1/2*log (осн. (x1+x2)) 12
 Должно быть x > 11/2, то есть
log (осн. (x1+x2)) 12 > 0
Иначе говоря, должно быть x1 + x2 > 1
Если да, то корень подходит.
4,7(43 оценок)
Ответ:
hasmikaydinyan
hasmikaydinyan
15.02.2023

1.А) Уравнением называется равенство, содержащее одно или несколько неизвестных, значение которых необходимо найти.

2. верный ответ Значение переменной, при котором уравнение обращается в верное  равенство.

среди предложенных не нашел.

3. линейным называют уравнение, в котором переменная /или переменные/ входят в первой степени, не равны нулю. можем еще так сказать

это уравнение вида ах+b=c

ax+by=c , где a, b, c - некоторые числа, х и у -переменные. причем а≠0, если речь об уравнении с двумя переменными, то а≠0;b≠0.

4. квадратное - это уравнение вида ах²+bx+c=0, где а,b,с - некоторые числа, причем а≠0, х и у-переменные.

5. Неравенство вида ах+b<0 (ах+b≤0, ах+b>0, ах+b≥0).где а≠0.

6. А) Уравнение имеет два равных действительных корня. но при условии, что решаем уравнение в области действительных чисел. иначе ответ Е.

7. А) Уравнение имеет два различных действительных корня. если речь о решении кв. уравнения в области действительных чисел.

иначе ответ Е.

8. А) Уравнение не имеет действительных корней.

9.D=b²-4ас

10. А) Уравнения, имеющие одно и то же множество решений

11. 7х-8=2х-3⇒А)х=1

12. 3-4х=5+8х⇒12х=-2, х=-1/6, верного ответа нет.

13. 7-х=-4+10х; х=1

14. 4х-4=6+3х⇒А)х=10

15. А) -0.5

16. 7-3х-3=х-1⇒А)1.25

17. -15+3х=2х-19⇒А)-4

18. 3-2х<5-3х⇒А) x<2

19. 5х+6>3х-2⇒А) x>-4

20. 3х-5≥23-4х⇒А) x≥4

21. По Виету А) 4;-2

22. 3х²-2х-1=0−1

здесь два ответа . ноль и 2/3

23. у=х+1 целая прямая ответов. подходят А, С,

24.-  нет системы

25.аналогично.

26. аналогично

27 нет

28. 10х²-х+1=0  А) Не имеет действительных корней

29 нет уравнения

30нет неравенства. но больше половины, как требуют правила, я решил вам.

bb

4,7(67 оценок)
Это интересно:
Новые ответы от MOGZ: Математика
logo
Вход Регистрация
Что ты хочешь узнать?
Спроси Mozg
Открыть лучший ответ