М
Молодежь
К
Компьютеры-и-электроника
Д
Дом-и-сад
С
Стиль-и-уход-за-собой
П
Праздники-и-традиции
Т
Транспорт
П
Путешествия
С
Семейная-жизнь
Ф
Философия-и-религия
Б
Без категории
М
Мир-работы
Х
Хобби-и-рукоделие
И
Искусство-и-развлечения
В
Взаимоотношения
З
Здоровье
К
Кулинария-и-гостеприимство
Ф
Финансы-и-бизнес
П
Питомцы-и-животные
О
Образование
О
Образование-и-коммуникации
baron2032012
baron2032012
30.01.2021 10:06 •  Математика

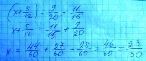
Решите уравнения (x+5/12)-9/20=11/15

👇
Ответ:
Esken213141
Esken213141
30.01.2021
Если что-то непонятно напиши
Решите уравнения (x+5/12)-9/20=11/15
4,5(75 оценок)
Ответ:
Olga08062003
Olga08062003
30.01.2021
Решите уравнения (x+5/12)-9/20=11/15
4,7(18 оценок)
Открыть все ответы
Ответ:
mpaxomow
mpaxomow
30.01.2021
В Анни Кареніної легка хода, кучеряве чорне волосся, невеликі руки, водночас енергійні та ніжні. Низько зрізана оксамитова сукня, яка відкривала чудові, кольору старої слонової кістки, плечі та груди. Зовнішність героїні, відтворена письменником, нагадує зовнішність доньки О. С. Пушкіна—Марії Олександрівни, що підтверджують свідоцтва багатьох сучасників. 

Кареніна приваблює не тільки своєю зовнішньою красою, а й духовно багатою натурою, наповненим внутрішнім життям, душевністю, щирістю, безпосередністю вираження своїх почуттів, що приваблювало увагу людей, які спілкувалися з нею. У Анни — необмежені інтереси, схильність до англійських романів, до творчості, великі пізнання у мистецтві й архітектурі, жвавий відгук на суспільні питання життя, багатогранні таланти. 
4,7(72 оценок)
Ответ:
knmnatalip011cc
knmnatalip011cc
30.01.2021
На севере лёд, намороженный на воде и покрытый снегом. А в Антарктиде - это глыбы, оторвавшиеся от материка, это слежавшийся снег, покрывающий землю. Такой лёд, образовавшийся из снега, лежит в Антарктиде на скальном основании даже там, где уровень скалы ниже уровня моря, то есть на континентальном шельфе, называется - шельфовые ледники. 
Северные айсберги вроде того, что повстречался "Титанику" подобны льдам Антарктиды, так как отрываются от ледника Гренландии. 
Когда-то думали, что на северном полюсе есть земля, на том основании, что лёд пресный, а вода под ним солёная. На самом деле соль выталкивается из кристаллической решётки при замерзании воды.
4,7(45 оценок)
Это интересно:
Новые ответы от MOGZ: Математика
logo
Вход Регистрация
Что ты хочешь узнать?
Спроси Mozg
Открыть лучший ответ